HL Paper 2
A function is defined by \(f(x) = A\sin (Bx) + C,{\text{ }} - \pi \le x \le \pi \), where \(A,{\text{ }}B,{\text{ }}C \in \mathbb{Z}\). The following diagram represents the graph of \(y = f(x)\).

Find the value of
(i) \(A\);
(ii) \(B\);
(iii) \(C\).
Solve \(f(x) = 3\) for \(0 \le x \le \pi \).
Markscheme
(i) \(A = - 3\) A1
(ii) period \( = \frac{\pi }{B}\) (M1)
\(B = 2\) A1
Note: Award as above for \(A = 3\) and \(B = - 2\).
(iii) \(C = 2\) A1
[4 marks]
\(x = 1.74,{\text{ }}2.97\;\;\;\left( {x = \frac{1}{2}\left( {\pi + \arcsin \frac{1}{3}} \right),{\text{ }}\frac{1}{2}\left( {2\pi - \arcsin \frac{1}{3}} \right)} \right)\) (M1)A1
Note: Award (M1)A0 if extra correct solutions eg \(( - 1.40,{\text{ }} - 0.170)\) are given outside the domain \(0 \le x \le \pi \). Do not award FT in (b).
[2 marks]
Total [6 marks]
Examiners report
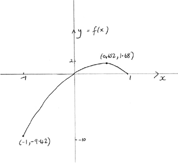
Consider the function \(f\) defined by \(f(x) = 3x\arccos (x)\) where \( - 1 \leqslant x \leqslant 1\).
Sketch the graph of \(f\) indicating clearly any intercepts with the axes and the coordinates of any local maximum or minimum points.
State the range of \(f\).
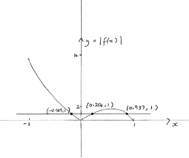
Solve the inequality \(\left| {3x\arccos (x)} \right| > 1\).
Markscheme

correct shape passing through the origin and correct domain A1
Note: Endpoint coordinates are not required. The domain can be indicated by \( - 1\) and 1 marked on the axis.
\((0.652,{\text{ }}1.68)\) A1
two correct intercepts (coordinates not required) A1
Note: A graph passing through the origin is sufficient for \((0,{\text{ }}0)\).
[3 marks]
\([-9.42,{\text{ }}1.68]{\text{ }}({\text{or }} - 3\pi ,{\text{ }}1.68])\) A1A1
Note: Award A1A0 for open or semi-open intervals with correct endpoints. Award A1A0 for closed intervals with one correct endpoint.
[2 marks]
attempting to solve either \(\left| {3x\arccos (x)} \right| > 1\) (or equivalent) or \(\left| {3x\arccos (x)} \right| = 1\) (or equivalent) (eg. graphically) (M1)

\(x = - 0.189,{\text{ }}0.254,{\text{ }}0.937\) (A1)
\( - 1 \leqslant x < - 0.189{\text{ or }}0.254 < x < 0.937\) A1A1
Note: Award A0 for \(x < - 0.189\).
[4 marks]
Examiners report
Given \(\Delta \)ABC, with lengths shown in the diagram below, find the length of the line segment [CD].
Markscheme
METHOD 1
\(\frac{{\sin C}}{7} = \frac{{\sin 40}}{5}\) M1(A1)
\({\text{B}}\hat {\text{C}}{\text{D}} = 64.14...^\circ \) A1
\({\text{CD}} = 2 \times 5\cos 64.14...\) M1
Note: Also allow use of sine or cosine rule.
\({\text{CD}} = 4.36\) A1
[5 marks]
METHOD 2
let \({\text{AC}} = x\)
cosine rule
\({5^2} = {7^2} + {x^2} - 2 \times 7 \times x\cos 40\) M1A1
\({x^2} - 10.7 ... x + 24 = 0\)
\(x = \frac{{10.7... \pm \sqrt {{{\left( {10.7...} \right)}^2} - 4 \times 24} }}{2}\) (M1)
\(x = 7.54\); \(3.18\) (A1)
CD is the difference in these two values \(= 4.36\) A1
Note: Other methods may be seen.
[5 marks]
Examiners report
This was an accessible question to most candidates although care was required when calculating the angles. Candidates who did not annotate the diagram or did not take care with the notation for the angles and sides often had difficulty recognizing when an angle was acute or obtuse. This prevented the candidate from obtaining a correct solution. There were many examples of candidates rounding answers prematurely and thus arriving at a final answer that was to the correct degree of accuracy but incorrect.
Consider triangle ABC with \({\rm{B}}\hat {\rm{A}}{\rm{C}} = 37.8^\circ \) , AB = 8.75 and BC = 6 .
Find AC.
Markscheme
METHOD 1
Attempting to use the cosine rule i.e. \({\text{B}}{{\text{C}}^2} = {\text{A}}{{\text{B}}^2} + {\text{A}}{{\text{C}}^2} - 2 \times {\text{AB}} \times {\text{AC}} \times \cos {\rm{B\hat AC}}\) (M1)
\({6^2} = {8.75^2} + {\text{A}}{{\text{C}}^2} - 2 \times 8.75 \times {\text{AC}} \times \cos 37.8^\circ \) (or equivalent) A1
Attempting to solve the quadratic in AC e.g. graphically, numerically or with quadratic formula M1A1
Evidence from a sketch graph or their quadratic formula (AC = …) that there are two values of AC to determine. (A1)
AC = 9.60 or AC = 4.22 A1A1 N4
Note: Award (M1)A1M1A1(A0)A1A0 for one correct value of AC.
[7 marks]
METHOD 2
Attempting to use the sine rule i.e. \(\frac{{{\rm{BC}}}}{{\sin {\rm{B\hat AC}}}} = \frac{{{\rm{AB}}}}{{\sin {\rm{A\hat CB}}}}\) (M1)
\(\sin C = \frac{{8.75\sin 37.8^\circ }}{6}\,\,\,\,\,{\text{( = 0.8938…)}}\) (A1)
C = 63.3576…° A1
C = 116.6423…° and B = 78.842…° or B = 25.5576…° A1
EITHER
Attempting to solve \(\frac{{{\text{AC}}}}{{\sin 78.842...^\circ }} = \frac{6}{{\sin 37.8^\circ }}{\text{ or }}\frac{{{\text{AC}}}}{{\sin 25.5576...^\circ }} = \frac{6}{{\sin 37.8^\circ }}\) M1
OR
Attempting to solve \({\text{A}}{{\text{C}}^2} = {8.75^2} + {6^2} - 2 \times 8.75 \times 6 \times \cos 25.5576...^\circ {\text{ or}}\)
\({\text{A}}{{\text{C}}^2} = {8.75^2} + {6^2} - 2 \times {8.75^2} \times 6 \times \cos 78.842...^\circ \) M1
\({\text{AC}} = 9.60{\text{ or AC}} = 4.22\) A1A1 N4
Note: Award (M1)(A1)A1A0M1A1A0 for one correct value of AC.
[7 marks]
Examiners report
A large proportion of candidates did not identify the ambiguous case and hence they only obtained one correct value of AC. A number of candidates prematurely rounded intermediate results (angles) causing inaccurate final answers.
The diagram below shows a semi-circle of diameter 20 cm, centre O and two points A and B such that \({\rm{A\hat OB}} = \theta \), where \(\theta \) is in radians.

Show that the shaded area can be expressed as \(50\theta - 50\sin \theta \).
Find the value of \(\theta \) for which the shaded area is equal to half that of the unshaded area, giving your answer correct to four significant figures.
Markscheme
\(A = \frac{1}{2} \times {10^2} \times \theta - \frac{1}{2} \times {10^2} \times \sin \theta \) M1A1
Note: Award M1 for use of area of segment = area of sector – area of triangle.
\( = 50\theta - 50\sin \theta \) AG
[2 marks]
METHOD 1
unshaded area \( = \frac{{\pi \times {{10}^2}}}{2} - 50(\theta - \sin \theta )\)
(or equivalent eg \(50\pi - 50\theta + 50\sin \theta )\) (M1)
\(50\theta - 50\sin \theta = \frac{1}{2}(50\pi - 50\theta + 50\sin \theta )\) (A1)
\(3\theta - 3\sin \theta - \pi = 0\)
\( \Rightarrow \theta = 1.969{\text{ (rad)}}\) A1
METHOD 2
\(50\theta - 50\sin \theta = \frac{1}{3}\left( {\frac{{\pi \times {{10}^2}}}{2}} \right)\) (M1)(A1)
\(3\theta - 3\sin \theta - \pi = 0\)
\( \Rightarrow \theta = 1.969{\text{ (rad)}}\) A1
[3 marks]
Examiners report
Part (a) was very well done. Most candidates knew how to calculate the area of a segment. A few candidates used \(r = 20\).
Part (b) challenged a large proportion of candidates. A common error was to equate the unshaded area and the shaded area. Some candidates expressed their final answer correct to three significant figures rather than to the four significant figures specified.
In triangle \({\text{PQR, PR}} = 12{\text{ cm, QR}} = p{\text{ cm, PQ}} = r{\text{ cm}}\) and \({\rm{Q\hat PR}} = 30^\circ \).
Consider the possible triangles with \({\text{QR}} = 8{\text{ cm}}\).
Consider the case where \(p\), the length of QR is not fixed at 8 cm.
Use the cosine rule to show that \({r^2} - 12\sqrt 3 r + 144 - {p^2} = 0\).
Calculate the two corresponding values of PQ.
Hence, find the area of the smaller triangle.
Determine the range of values of \(p\) for which it is possible to form two triangles.
Markscheme
\({p^2} = {12^2} + {r^2} - 2 \times 12 \times r \times \cos (30^\circ )\) M1A1
\({r^2} - 12\sqrt 3 r + 144 - {p^2} = 0\) AG
[2 marks]
EITHER
\({r^2} - 12\sqrt 3 r + 80 = 0\) (M1)
OR
using the sine rule (M1)
THEN
\({\text{PQ}} = 5.10{\text{ }}({\text{cm}})\) or A1
\({\text{PQ}} = 15.7{\text{ }}({\text{cm}})\) A1
[3 marks]
\({\text{area}} = \frac{1}{2} \times 12 \times 5.1008 \ldots \times \sin (30^\circ )\) M1A1
\( = 15.3{\text{ }}({\text{c}}{{\text{m}}^2})\) A1
[3 marks]
METHOD 1
EITHER
\({r^2} - 12\sqrt 3 r + 144 - {p^2} = 0\)
discriminant \( = {\left( {12\sqrt 3 } \right)^2} - 4 \times (144 - {p^2})\) M1
\( = 4({p^2} - 36)\) A1
\(({p^2} - 36) > 0\) M1
\(p > 6\) A1
OR
construction of a right angle triangle (M1)
\(12\sin 30^\circ = 6\) M1(A1)
hence for two triangles \(p > 6\) R1
THEN
\(p < 12\) A1
\(144 - {p^2} > 0\) to ensure two positive solutions or valid geometric argument R1
\(\therefore 6 < p < 12\) A1
METHOD 2
diagram showing two triangles (M1)
\(12\sin 30^\circ = 6\) M1A1
one right angled triangle when \(p = 6\) (A1)
\(\therefore p > 6\) for two triangles R1
\(p < 12\) for two triangles A1
\(6 < p < 12\) A1
[7 marks]
Examiners report
Consider the following diagram.
The sides of the equilateral triangle ABC have lengths 1 m. The midpoint of [AB] is denoted by P. The circular arc AB has centre, M, the midpoint of [CP].
Find AM.
Find \({\text{A}}\mathop {\text{M}}\limits^ \wedge {\text{P}}\) in radians.
Find the area of the shaded region.
Markscheme
METHOD 1
PC \( = \frac{{\sqrt 3 }}{2}\) or 0.8660 (M1)
PM \( = \frac{1}{2}\)PC \( = \frac{{\sqrt 3 }}{4}\) or 0.4330 (A1)
AM \( = \sqrt {\frac{1}{4} + \frac{3}{{16}}} \)
\( = \frac{{\sqrt 7 }}{4}\) or 0.661 (m) A1
METHOD 2
using the cosine rule
AM2 \( = {1^2} + {\left( {\frac{{\sqrt 3 }}{4}} \right)^2} - 2 \times \frac{{\sqrt 3 }}{4} \times {\text{cos}}\left( {30^\circ } \right)\) M1A1
AM \( = \frac{{\sqrt 7 }}{4}\) or 0.661 (m) A1
[3 marks]
tan (\({\text{A}}\mathop {\text{M}}\limits^ \wedge {\text{P}}\)) \( = \frac{2}{{\sqrt 3 }}\) or equivalent (M1)
= 0.857 A1
[2 marks]
EITHER
\(\frac{1}{2}{\text{A}}{{\text{M}}^2}\left( {2\,{\text{A}}\mathop {\text{M}}\limits^ \wedge {\text{P}} - {\text{sin}}\left( {2\,{\text{A}}\mathop {\text{M}}\limits^ \wedge {\text{P}}} \right)} \right)\) (M1)A1
OR
\(\frac{1}{2}{\text{A}}{{\text{M}}^2} \times 2\,{\text{A}}\mathop {\text{M}}\limits^ \wedge {\text{P}} - = \frac{{\sqrt 3 }}{8}\) (M1)A1
= 0.158(m2) A1
Note: Award M1 for attempting to calculate area of a sector minus area of a triangle.
[3 marks]
Examiners report
The following diagram shows two intersecting circles of radii 4 cm and 3 cm. The centre C of the smaller circle lies on the circumference of the bigger circle. O is the centre of the bigger circle and the two circles intersect at points A and B.

Find:
(a) \({\rm{B\hat OC}}\);
(b) the area of the shaded region.
Markscheme
(a) METHOD 1
\(2{\text{arcsin}}\left( {\frac{{1.5}}{4}} \right)\) M1
\(\alpha = {0.769^c}{\text{ (44.0}}^\circ {\text{)}}\) A1
METHOD 2
using the cosine rule:
\({3^2} = {4^2} + {4^2} - 2(4)(4)\cos \alpha \) M1
\(\alpha = {0.769^c}{\text{ (44.0}}^\circ {\text{)}}\) A1
[2 marks]
(b) one segment
\({{\text{A}}_1} = \frac{1}{2} \times {4^2} \times 0.76879 - \frac{1}{2} \times {4^2}\sin (0.76879)\) M1A1
\( = 0.58819{\text{K}}\) (A1)
\(2{{\text{A}}_1} = 1.18{\text{ }}({\text{c}}{{\text{m}}^2})\) A1
Note: Award M1 only if both sector and triangle are considered.
[4 marks]
Total [6 marks]
Examiners report
Triangle ABC has AB = 5 cm, BC = 6 cm and area 10 \({\text{c}}{{\text{m}}^2}\).
(a) Find \(\sin \hat B\).
(b) Hence, find the two possible values of AC, giving your answers correct to two decimal places.
Markscheme
(a) area \( = \frac{1}{2} \times {\text{BC}} \times {\text{AB}} \times \sin B\) (M1)
\(\left( {10 = \frac{1}{2} \times 5 \times 6 \times \sin B} \right)\)
\(\sin \hat B = \frac{2}{3}\) A1
(b) \(\cos B = \pm \frac{{\sqrt 5 }}{3}{\text{ }}( = \pm 0.7453 \ldots ){\text{ or }}B = 41.8 \ldots {\text{ and }}138.1 \ldots \) (A1)
\({\text{A}}{{\text{C}}^2} = {\text{B}}{{\text{C}}^2} + {\text{A}}{{\text{B}}^2} - 2 \times {\text{BC}} \times {\text{AB}} \times \cos B\) (M1)
\({\text{AC}} = \sqrt {{5^2} + {6^2} - 2 \times 5 \times 6 \times 0.7453 \ldots } {\text{ or }}\sqrt {{5^2} + {6^2} + 2 \times 5 \times 6 \times 0.7453 \ldots } \)
\({\text{AC}} = 4.03{\text{ or }}10.28\) A1A1
[6 marks]
Examiners report
Most candidates attempted this question and part (a) was answered correctly by most candidates but in (b), despite the wording of the question, the obtuse angle was often omitted leading to only one solution.
In many cases early rounding led to inaccuracy in the final answers and many candidates failed to round their answers to two decimal places as required.
In a triangle ABC, \(\hat A = 35^\circ \), BC = 4 cm and AC = 6.5 cm. Find the possible values of \(\hat B\) and the corresponding values of AB.
Markscheme
\(\frac{{\sin B}}{{6.5}} = \frac{{\sin 35^\circ }}{4}\) M1
\(\hat B = 68.8^\circ {\text{ or }}111^\circ \) A1A1
\(\hat C = 76.2^\circ \) or \(33.8^\circ \) (accept \(34^\circ \)) A1
\(\frac{{{\text{AB}}}}{{\sin C}} = \frac{{{\text{BC}}}}{{\sin A}}\)
\(\frac{{{\text{AB}}}}{{\sin 76.2^\circ }} = \frac{4}{{\sin 35^\circ }}\) (M1)
AB = 6.77 cm A1
\(\frac{{{\text{AB}}}}{{\sin 33.8^\circ }} = \frac{4}{{\sin 35^\circ }}\)
AB = 3.88 cm\(\,\,\,\,\,\)(accept 3.90) A1
[7 marks]
Examiners report
Most candidates realised that the sine rule was the best option although some used the more difficult cosine rule which was an alternative method. Many candidates failed to realise that there were two solutions even though the question suggested this. Many candidates were given an arithmetic penalty for giving one of the possible of values \({\hat B}\) as 112.2° instead of 111°.
Given that \(\arctan \frac{1}{2} - \arctan \frac{1}{3} = \arctan a,{\text{ }}a \in {\mathbb{Q}^ + }\), find the value of a.
Hence, or otherwise, solve the equation \(\arcsin x = \arctan a\).
Markscheme
\(\tan \left( {\arctan \frac{1}{2} - \arctan \frac{1}{3}} \right) = \tan (\arctan a)\) (M1)
\(a = 0.14285 \ldots = \frac{1}{7}\) (A1)A1
[3 marks]
\(\arctan \left( {\frac{1}{7}} \right) = \arcsin (x) \Rightarrow x = \sin \left( {\arctan \frac{1}{7}} \right) \approx 0.141\) (M1)A1
Note: Accept exact value of \(\left( {\frac{1}{{\sqrt {50} }}} \right)\).
[2 marks]
Examiners report
Many candidates failed to give the answer for (a) in rational form. The GDC can render the answer in this form as well as the decimal approximation, but this was obviously missed by many candidates.
(b) was generally answered successfully.
Consider the triangle \({\text{PQR}}\) where \({\rm{Q\hat PR = 30^\circ }}\), \({\text{PQ}} = (x + 2){\text{ cm}}\) and \({\text{PR}} = {(5 - x)^2}{\text{ cm}}\), where \( - 2 < x < 5\).
Show that the area, \(A\;{\text{c}}{{\text{m}}^2}\), of the triangle is given by \(A = \frac{1}{4}({x^3} - 8{x^2} + 5x + 50)\).
(i) State \(\frac{{{\text{d}}A}}{{{\text{d}}x}}\).
(ii) Verify that \(\frac{{{\text{d}}A}}{{{\text{d}}x}} = 0\) when \(x = \frac{1}{3}\).
(i) Find \(\frac{{{{\text{d}}^2}A}}{{{\text{d}}{x^2}}}\) and hence justify that \(x = \frac{1}{3}\) gives the maximum area of triangle \(PQR\).
(ii) State the maximum area of triangle \(PQR\).
(iii) Find \(QR\) when the area of triangle \(PQR\) is a maximum.
Markscheme
use of \(A = \frac{1}{2}qr\sin \theta \) to obtain \(A = \frac{1}{2}(x + 2){(5 - x)^2}\sin 30^\circ \) M1
\( = \frac{1}{4}(x + 2)(25 - 10x + {x^2})\) A1
\(A = \frac{1}{4}({x^3} - 8{x^2} + 5x + 50)\) AG
[2 marks]
(i) \(\frac{{{\text{d}}A}}{{{\text{d}}x}} = \frac{1}{4}(3{x^2} - 16x + 5) = \frac{1}{4}(3x - 1)(x - 5)\) A1
(ii) METHOD 1
EITHER
\(\frac{{{\text{d}}A}}{{{\text{d}}x}} = \frac{1}{4}\left( {3{{\left( {\frac{1}{3}} \right)}^2} - 16\left( {\frac{1}{3}} \right) + 5} \right) = 0\) M1A1
OR
\(\frac{{{\text{d}}A}}{{{\text{d}}x}} = \frac{1}{4}\left( {3\left( {\frac{1}{3}} \right) - 1} \right)\left( {\left( {\frac{1}{3}} \right) - 5} \right) = 0\) M1A1
THEN
so \(\frac{{{\text{d}}A}}{{{\text{d}}x}} = 0\) when \(x = \frac{1}{3}\) AG
METHOD 2
solving \(\frac{{{\text{d}}A}}{{{\text{d}}x}} = 0\) for \(x\) M1
\( - 2 < x < 5 \Rightarrow x = \frac{1}{3}\) A1
so \(\frac{{{\text{d}}A}}{{{\text{d}}x}} = 0\) when \(x = \frac{1}{3}\) AG
METHOD 3
a correct graph of \(\frac{{{\text{d}}A}}{{{\text{d}}x}}\) versus \(x\) M1
the graph clearly showing that \(\frac{{{\text{d}}A}}{{{\text{d}}x}} = 0\) when \(x = \frac{1}{3}\) A1
so \(\frac{{{\text{d}}A}}{{{\text{d}}x}} = 0\) when \(x = \frac{1}{3}\) AG
[3 marks]
(i) \(\frac{{{{\text{d}}^2}A}}{{{\text{d}}{x^2}}} = \frac{1}{2}(3x - 8)\) A1
for \(x = \frac{1}{3},{\text{ }}\frac{{{{\text{d}}^2}A}}{{{\text{d}}{x^2}}} = - 3.5{\text{ }}( < 0)\) R1
so \(x = \frac{1}{3}\) gives the maximum area of triangle \(PQR\) AG
(ii) \({A_{\max }} = \frac{{343}}{{27}}{\text{ }}( = 12.7){\text{ (c}}{{\text{m}}^2}{\text{)}}\) A1
(iii) \({\text{PQ}} = \frac{7}{3}{\text{ (cm)}}\) and \({\text{PR}} = {\left( {\frac{{14}}{3}} \right)^2}{\text{ (cm)}}\) (A1)
\({\text{Q}}{{\text{R}}^2} = {\left( {\frac{7}{3}} \right)^2} + {\left( {\frac{{14}}{3}} \right)^4} - 2\left( {\frac{7}{3}} \right){\left( {\frac{{14}}{3}} \right)^2}\cos 30^\circ \) (M1)(A1)
\( = 391.702 \ldots \)
\({\text{QR = 19.8 (cm)}}\) A1
[7 marks]
Total [12 marks]
Examiners report
This question was generally well done. Parts (a) and (b) were straightforward and well answered.
This question was generally well done. Parts (a) and (b) were straightforward and well answered.
This question was generally well done. Parts (c) (i) and (ii) were also well answered with most candidates correctly applying the second derivative test and displaying sound reasoning skills.
Part (c) (iii) required the use of the cosine rule and was reasonably well done. The most common error committed by candidates in attempting to find the value of \(QR\) was to use \({\text{PR}} = \frac{{14}}{3}{\text{ (cm)}}\) rather than \({\text{PR}} = {\left( {\frac{{14}}{3}} \right)^2}{\text{ (cm)}}\). The occasional candidate used \(\cos 30^\circ = \frac{1}{2}\).
The function \(f(x) = 3\sin x + 4\cos x\) is defined for \(0 < x < 2\pi \) .
Write down the coordinates of the minimum point on the graph of f .
The points \({\text{P}}(p,{\text{ }}3)\) and \({\text{Q}}(q,{\text{ }}3){\text{, }}q > p\), lie on the graph of \(y = f(x)\) .
Find p and q .
Find the coordinates of the point, on \(y = f(x)\) , where the gradient of the graph is 3.
Find the coordinates of the point of intersection of the normals to the graph at the points P and Q.
Markscheme
\((3.79, - 5)\) A1
[1 mark]
\(p = 1.57{\text{ or }}\frac{\pi }{2},{\text{ }}q = 6.00\) A1A1
[2 marks]
\(f'(x) = 3\cos x - 4\sin x\) (M1)(A1)
\(3\cos x - 4\sin x = 3 \Rightarrow x = 4.43...\) (A1)
\((y = -4)\) A1
Coordinates are \((4.43, -4)\)
[4 marks]
\({m_{{\text{normal}}}} = \frac{1}{{{m_{{\text{tangent}}}}}}\) (M1)
gradient at P is \( - 4\) so gradient of normal at P is \(\frac{1}{4}\) (A1)
gradient at Q is 4 so gradient of normal at Q is \( - \frac{1}{4}\) (A1)
equation of normal at P is \(y - 3 = \frac{1}{4}(x - 1.570...){\text{ }}({\text{or }}y = 0.25x + 2.60...)\) (M1)
equation of normal at Q is \(y - 3 = \frac{1}{4}(x - 5.999...){\text{ }}({\text{or }}y = -0.25x + \underbrace {4.499...}_{})\) (M1)
Note: Award the previous two M1 even if the gradients are incorrect in \(y - b = m(x - a)\) where \((a,b)\) are coordinates of P and Q (or in \(y = mx + c\) with c determined using coordinates of P and Q.
intersect at \((3.79,{\text{ }}3.55)\) A1A1
Note: Award N2 for 3.79 without other working.
[7 marks]
Examiners report
Candidates answered parts (a) and (b) of this question well and, although many were also successful in part (c), just a few candidates gave answers to the required level of accuracy. Part d) was rather challenging for many candidates. The most common errors among the candidates who attempted this question were the confusion between tangents and normals and incorrect final answers due to premature rounding.
Candidates answered parts (a) and (b) of this question well and, although many were also successful in part (c), just a few candidates gave answers to the required level of accuracy. Part d) was rather challenging for many candidates. The most common errors among the candidates who attempted this question were the confusion between tangents and normals and incorrect final answers due to premature rounding.
Candidates answered parts (a) and (b) of this question well and, although many were also successful in part (c), just a few candidates gave answers to the required level of accuracy. Part d) was rather challenging for many candidates. The most common errors among the candidates who attempted this question were the confusion between tangents and normals and incorrect final answers due to premature rounding.
Candidates answered parts (a) and (b) of this question well and, although many were also successful in part (c), just a few candidates gave answers to the required level of accuracy. Part d) was rather challenging for many candidates. The most common errors among the candidates who attempted this question were the confusion between tangents and normals and incorrect final answers due to premature rounding.
A circle of radius 4 cm , centre O , is cut by a chord [AB] of length 6 cm.
Find \({\rm{A\hat OB}}\), expressing your answer in radians correct to four significant figures.
Determine the area of the shaded region.
Markscheme
EITHER
\({\rm{A\hat OB}} = 2\arcsin \left( {\frac{3}{4}} \right)\) or equivalent (eg \({\rm{A\hat OB}} = 2\arctan \left( {\frac{3}{{\sqrt 7 }}} \right),{\rm{ A\hat OB}} = 2\arccos \left( {\frac{{\sqrt 7 }}{4}} \right)\)) (M1)
OR
\(\cos {\rm{A\hat OB}} = \frac{{{4^2} + {4^2} - {6^2}}}{{2 \times 4 \times 4}}{\text{ }}\left( { = - \frac{1}{8}} \right)\) (M1)
THEN
\( = 1.696\) (correct to 4sf) A1
[2 marks]
use of area of segment = area of sector – area of triangle (M1)
\( = \frac{1}{2} \times {4^2} \times 1.696 - \frac{1}{2} \times {4^2} \times \sin 1.696\) (A1)
\( = 5.63{\text{ (c}}{{\text{m}}^2})\) A1
[3 marks]
Examiners report
This was generally well done. In part (a), a number of candidates expressed the required angle either in degrees or in radians stated to an incorrect number of significant figures.
This was generally well done. In part (b), some candidates demonstrated a correct method to calculate the shaded area using an incorrect formula for the area of a sector.
Consider the triangle ABC where \({\rm{B\hat AC}} = 70^\circ \), AB = 8 cm and AC = 7 cm. The point D on the side BC is such that \(\frac{{{\text{BD}}}}{{{\text{DC}}}} = 2\).
Determine the length of AD.
Markscheme
use of cosine rule: \({\text{BC}} = \sqrt {({8^2} + {7^2} - 2 \times 7 \times 8\cos 70)} = 8.6426 \ldots \) (M1)A1
Note: Accept an expression for \({\text{B}}{{\text{C}}^2}\).
\({\text{BD}} = 5.7617 \ldots \,\,\,\,\,{\text{(CD}} = 2.88085 \ldots )\) A1
use of sine rule: \(\hat B = \arcsin \left( {\frac{{7\sin 70}}{{{\text{BC}}}}} \right) = 49.561 \ldots ^\circ \,\,\,\,\,(\hat C = 60.4387 \ldots ^\circ )\) (M1)A1
use of cosine rule: \({\text{AD}} = \sqrt {{8^2} + {\text{B}}{{\text{D}}^2} - 2 \times {\text{BD}} \times 8\cos B} = 6.12{\text{ (cm)}}\) A1
Note: Scale drawing method not acceptable.
[6 marks]
Examiners report
Well done.
The depth, h(t) metres, of water at the entrance to a harbour at t hours after midnight on a particular day is given by
\[h(t) = 8 + 4\sin \left( {\frac{{\pi t}}{6}} \right),{\text{ }}0 \leqslant t \leqslant 24.\]
(a) Find the maximum depth and the minimum depth of the water.
(b) Find the values of t for which \(h(t) \geqslant 8\).
Markscheme
(a) Either finding depths graphically, using \(\sin \frac{{\pi t}}{6} = \pm 1\) or solving \(h'(t) = 0\) for t (M1)
\(h{(t)_{\max }} = 12{\text{ (m), }}h{(t)_{\min }} = 4{\text{ (m)}}\) A1A1 N3
(b) Attempting to solve \(8 + 4\sin \frac{{\pi t}}{6} = 8\) algebraically or graphically (M1)
\(t \in [{\text{0}},{\text{6}}] \cup [{\text{12}},{\text{18}}] \cup \{ {\text{24}}\} \) A1A1 N3
[6 marks]
Examiners report
Not as well done as expected with most successful candidates using a graphical approach. Some candidates confused t and h and subsequently stated the values of t for which the water depth was either at a maximum and a minimum. Some candidates simply gave the maximum and minimum coordinates without stating the maximum and minimum depths.
In part (b), a large number of candidates left out t = 24 from their final answer. A number of candidates experienced difficulties solving the inequality via algebraic means. A number of candidates specified incorrect intervals or only one correct interval.
Farmer Bill owns a rectangular field, 10 m by 4 m. Bill attaches a rope to a wooden post at one corner of his field, and attaches the other end to his goat Gruff.
Given that the rope is 5 m long, calculate the percentage of Bill’s field that Gruff is able to graze. Give your answer correct to the nearest integer.
Bill replaces Gruff’s rope with another, this time of length \(a,{\text{ }}4 < a < 10\), so that Gruff can now graze exactly one half of Bill’s field.
Show that \(a\) satisfies the equation
\[{a^2}\arcsin \left( {\frac{4}{a}} \right) + 4\sqrt {{a^2} - 16} = 40.\]
Find the value of \(a\).
Markscheme

EITHER
area of triangle \( = \frac{1}{2} \times 3 \times 4\;\;\;( = 6)\) A1
area of sector \( = \frac{1}{2}\arcsin \left( {\frac{4}{5}} \right) \times {5^2}\;\;\;( = 11.5911 \ldots )\) A1
OR
\(\int_0^4 {\sqrt {25 - {x^2}} {\text{d}}x} \) M1A1
THEN
total area \( = 17.5911 \ldots {\text{ }}{{\text{m}}^2}\) (A1)
percentage \( = \frac{{17.5911 \ldots }}{{40}} \times 100 = 44\% \) A1
[4 marks]
METHOD 1

area of triangle \( = \frac{1}{2} \times 4 \times \sqrt {{a^2} - 16} \) A1
\(\theta = \arcsin \left( {\frac{4}{a}} \right)\) (A1)
area of sector \( = \frac{1}{2}{r^2}\theta = \frac{1}{2}{a^2}\arcsin \left( {\frac{4}{a}} \right)\) A1
therefore total area \( = 2\sqrt {{a^2} - 16} + \frac{1}{2}{a^2}\arcsin \left( {\frac{4}{a}} \right) = 20\) A1
rearrange to give: \({a^2}\arcsin \left( {\frac{4}{a}} \right) + 4\sqrt {{a^2} - 16} = 40\) AG
METHOD 2
\(\int_0^4 {\sqrt {{a^2} - {x^2}} {\text{d}}x = 20} \) M1
use substitution \(x = a\sin \theta ,{\text{ }}\frac{{{\text{d}}x}}{{{\text{d}}\theta }} = a\cos \theta \)
\(\int_0^{\arcsin \left( {\frac{4}{a}} \right)} {{a^2}{{\cos }^2}\theta {\text{d}}\theta = 20} \)
\(\frac{{{a^2}}}{2}\int_0^{\arcsin \left( {\frac{4}{a}} \right)} {(\cos 2\theta + 1){\text{d}}\theta = 20} \) M1
\({a^2}\left[ {\left( {\frac{{\sin 2\theta }}{2} + \theta } \right)} \right]_0^{\arcsin \left( {\frac{4}{a}} \right)} = 40\) A1
\({a^2}\left[ {(\sin \theta \cos \theta + \theta } \right]_0^{\arcsin \left( {\frac{4}{a}} \right)} = 40\)
\({a^2}\arcsin \left( {\frac{4}{a}} \right) + {a^2}\left( {\frac{4}{a}} \right)\sqrt {\left( {1 - {{\left( {\frac{4}{a}} \right)}^2}} \right)} = 40\) A1
\({a^2}\arcsin \left( {\frac{4}{a}} \right) + 4\sqrt {{a^2} - 16} = 40\) AG
[4 marks]
solving using \({\text{GDC}} \Rightarrow a = 5.53{\text{ cm}}\) A2
[2 marks]
Total [10 marks]
Examiners report
In triangle \({\text{ABC}}\), \({\text{AB}} = 5{\text{ cm}}\), \({\text{BC}} = 12{\text{ cm}}\) and \({\rm{A\hat BC}} = 100^\circ \).
Find the area of the triangle.
Find \(AC\).
Markscheme
\(A = \frac{1}{2} \times 5 \times 12 \times \sin 100^\circ \) (M1)
\( = 29.5{\text{ (c}}{{\text{m}}^2}{\text{)}}\) A1
[2 marks]
\({\text{A}}{{\text{C}}^2} = {5^2} + {12^2} - 2 \times 5 \times 12 \times \cos 100^\circ \) (M1)
therefore \({\text{AC}} = 13.8{\text{ (cm)}}\) A1
[2 marks]
Total [4 marks]
Examiners report
Barry is at the top of a cliff, standing 80 m above sea level, and observes two yachts in the sea.
“Seaview” \((S)\) is at an angle of depression of 25°.
“Nauti Buoy” \((N)\) is at an angle of depression of 35°.
The following three dimensional diagram shows Barry and the two yachts at S and N.
X lies at the foot of the cliff and angle \({\text{SXN}} = \) 70°.

Find, to 3 significant figures, the distance between the two yachts.
Markscheme
attempt to use tan, or sine rule, in triangle BXN or BXS (M1)
\({\text{NX}} = 80\tan 55{\rm{^\circ }}\left( { = \frac{{80}}{{\tan 35{\rm{^\circ }}}} = 114.25} \right)\) (A1)
\({\text{SX}} = 80\tan 65{\rm{^\circ }}\left( { = \frac{{80}}{{\tan 25{\rm{^\circ }}}} = 171.56} \right)\) (A1)
Attempt to use cosine rule M1
\({\text{S}}{{\text{N}}^2} = {171.56^2} + {114.25^2} - 2 \times 171.56 \times 114.25\cos 70\)° (A1)
\({\text{SN}} = 171{\text{ }}({\text{m}})\) A1
Note: Award final A1 only if the correct answer has been given to 3 significant figures.
[6 marks]
Examiners report
An electricity station is on the edge of a straight coastline. A lighthouse is located in the sea 200 m from the electricity station. The angle between the coastline and the line joining the lighthouse with the electricity station is 60°. A cable needs to be laid connecting the lighthouse to the electricity station. It is decided to lay the cable in a straight line to the coast and then along the coast to the electricity station. The length of cable laid along the coastline is x metres. This information is illustrated in the diagram below.
The cost of laying the cable along the sea bed is US$80 per metre, and the cost of laying it on land is US$20 per metre.
Find, in terms of x, an expression for the cost of laying the cable.
Find the value of x, to the nearest metre, such that this cost is minimized.
Markscheme
let the distance the cable is laid along the seabed be y
\({y^2} = {x^2} + {200^2} - 2 \times x \times 200\cos 60^\circ \) (M1)
(or equivalent method)
\({y^2} = {x^2} - 200x + 40000\) (A1)
cost = C = 80y + 20x (M1)
\(C = 80{({x^2} - 200x + 40000)^{\frac{1}{2}}} + 20x\) A1
[4 marks]
\(x = 55.2786 \ldots = 55\) (m to the nearest metre) (A1)A1
\(\left( {x = 100 - \sqrt {2000} } \right)\)
[2 marks]
Examiners report
Some surprising misconceptions were evident here, using right angled trigonometry in non right angled triangles etc. Those that used the cosine rule, usually managed to obtain the correct answer to part (a).
Some surprising misconceptions were evident here, using right angled trigonometry in non right angled triangles etc. Many students attempted to find the value of the minimum algebraically instead of the simple calculator solution.
The vertices of an equilateral triangle, with perimeter P and area A , lie on a circle with radius r . Find an expression for \(\frac{P}{A}\) in the form \(\frac{k}{r}\), where \(k \in {\mathbb{Z}^ + }\).
Markscheme
let the length of one side of the triangle be x
consider the triangle consisting of a side of the triangle and two radii
EITHER
\({x^2} = {r^2} + {r^2} - 2{r^2}\cos 120^\circ \) M1
\( = 3{r^2}\)
OR
\(x = 2r\cos 30^\circ \) M1
THEN
\(x = r\sqrt 3 \) A1
so perimeter \( = 3\sqrt 3 r\) A1
now consider the area of the triangle
area \( = 3 \times \frac{1}{2}{r^2}\sin 120^\circ \) M1
\( = 3 \times \frac{{\sqrt 3 }}{4}{r^2}\) A1
\(\frac{P}{A} = \frac{{3\sqrt 3 r}}{{\frac{{3\sqrt 3 }}{4}{r^2}}}\)
\( = \frac{4}{r}\) A1
Note: Accept alternative methods
[6 marks]
Examiners report
It was pleasing to see some very slick solutions to this question. There were various reasons for the less successful attempts: not drawing a diagram; drawing a diagram, but putting one vertex of the triangle at the centre of the circle; drawing the circle inside the triangle; the side of the triangle being denoted by r the symbol used in the question for the radius of the circle.
Consider the function \(f(x) = 2{\sin ^2}x + 7\sin 2x + \tan x - 9,{\text{ }}0 \leqslant x < \frac{\pi }{2}\).
Let \(u = \tan x\).
Determine an expression for \(f’(x)\) in terms of \(x\).
Sketch a graph of \(y = f’(x)\) for \(0 \leqslant x < \frac{\pi }{2}\).
Find the \(x\)-coordinate(s) of the point(s) of inflexion of the graph of \(y = f(x)\), labelling these clearly on the graph of \(y = f’(x)\).
Express \(\sin x\) in terms of \(\mu \).
Express \(\sin 2x\) in terms of \(u\).
Hence show that \(f(x) = 0\) can be expressed as \({u^3} - 7{u^2} + 15u - 9 = 0\).
Solve the equation \(f(x) = 0\), giving your answers in the form \(\arctan k\) where \(k \in \mathbb{Z}\).
Markscheme
\(f’(x) = 4\sin x\cos x + 14\cos 2x + {\sec ^2}x\) (or equivalent) (M1)A1
[2 marks]
A1A1A1A1
Note: Award A1 for correct behaviour at \(x = 0\), A1 for correct domain and correct behaviour for \(x \to \frac{\pi }{2}\), A1 for two clear intersections with \(x\)-axis and minimum point, A1 for clear maximum point.
[4 marks]
\(x = 0.0736\) A1
\(x = 1.13\) A1
[2 marks]
attempt to write \(\sin x\) in terms of \(u\) only (M1)
\(\sin x = \frac{u}{{\sqrt {1 + {u^2}} }}\) A1
[2 marks]
\(\cos x = \frac{1}{{\sqrt {1 + {u^2}} }}\) (A1)
attempt to use \(\sin 2x = 2\sin x\cos x{\text{ }}\left( { = 2\frac{u}{{\sqrt {1 + {u^2}} }}\frac{1}{{\sqrt {1 + {u^2}} }}} \right)\) (M1)
\(\sin 2x = \frac{{2u}}{{1 + {u^2}}}\) A1
[3 marks]
\(2{\sin ^2}x + 7\sin 2x + \tan x - 9 = 0\)
\(\frac{{2{u^2}}}{{1 + {u^2}}} + \frac{{14u}}{{1 + {u^2}}} + u - 9{\text{ }}( = 0)\) M1
\(\frac{{2{u^2} + 14u + u(1 + {u^2}) - 9(1 + {u^2})}}{{1 + {u^2}}} = 0\) (or equivalent) A1
\({u^3} - 7{u^2} + 15u - 9 = 0\) AG
[2 marks]
\(u = 1\) or \(u = 3\) (M1)
\(x = \arctan (1)\) A1
\(x = \arctan (3)\) A1
Note: Only accept answers given the required form.
[3 marks]
Examiners report
The diagram shows two circles with centres at the points A and B and radii \(2r\) and \(r\), respectively. The point B lies on the circle with centre A. The circles intersect at the points C and D.

Let \(\alpha \) be the measure of the angle CAD and \(\theta \) be the measure of the angle CBD in radians.
Find an expression for the shaded area in terms of \(\alpha \), \(\theta \) and \(r\).
Show that \(\alpha = 4\arcsin \frac{1}{4}\).
Hence find the value of \(r\) given that the shaded area is equal to 4.
Markscheme
\(A = 2(\alpha - \sin \alpha ){r^2} + \frac{1}{2}(\theta - \sin \theta ){r^2}\) M1A1A1
Note: Award M1A1A1 for alternative correct expressions eg. \(A = 4\left( {\frac{\alpha }{2} - \sin \frac{\alpha }{2}} \right){r^2} + \frac{1}{2}\theta {r^2}\).
[3 marks]
METHOD 1
consider for example triangle ADM where M is the midpoint of BD M1
\(\sin \frac{\alpha }{4} = \frac{1}{4}\) A1
\(\frac{\alpha }{4} = \arcsin \frac{1}{4}\)
\(\alpha = 4\arcsin \frac{1}{4}\) AG
METHOD 2
attempting to use the cosine rule (to obtain \(1 - \cos \frac{\alpha }{2} = \frac{1}{8}\)) M1
\(\sin \frac{\alpha }{4} = \frac{1}{4}\) (obtained from \(\sin \frac{\alpha }{4} = \sqrt {\frac{{1 - \cos \frac{\alpha }{2}}}{2}} \)) A1
\(\frac{\alpha }{4} = \arcsin \frac{1}{4}\)
\(\alpha = 4\arcsin \frac{1}{4}\) AG
METHOD 3
\(\sin \left( {\frac{\pi }{2} - \frac{\alpha }{4}} \right) = 2\sin \frac{\alpha }{2}\) where \(\frac{\theta }{2} = \frac{\pi }{2} - \frac{\alpha }{4}\)
\(\cos \frac{\alpha }{4} = 4\sin \frac{\alpha }{4}\cos \frac{\alpha }{4}\) M1
Note: Award M1 either for use of the double angle formula or the conversion from sine to cosine.
\(\frac{1}{4} = \sin \frac{\alpha }{4}\) A1
\(\frac{\alpha }{4} = \arcsin \frac{1}{4}\)
\(\alpha = 4\arcsin \frac{1}{4}\) AG
[2 marks]
(from triangle ADM), \(\theta = \pi - \frac{\alpha }{2}{\text{ }}\left( { = \pi - 2\arcsin \frac{1}{4} = 2\arcsin \frac{1}{4} = 2.6362 \ldots } \right)\) A1
attempting to solve \(2(\alpha - \sin \alpha ){r^2} + \frac{1}{2}(\theta - \sin \theta ){r^2} = 4\)
with \(\alpha = 4\arcsin \frac{1}{4}\) and \(\theta = \pi - \frac{\alpha }{2}{\text{ }}\left( { = 2\arccos \frac{1}{4}} \right)\) for \(r\) (M1)
\(r = 1.69\) A1
[3 marks]
Examiners report
The shaded region S is enclosed between the curve \(y = x + 2\cos x\), for \(0 \leqslant x \leqslant 2\pi \), and the line \(y = x\), as shown in the diagram below.

Find the coordinates of the points where the line meets the curve.
The region \(S\) is rotated by \(2\pi \) about the \(x\)-axis to generate a solid.
(i) Write down an integral that represents the volume \(V\) of the solid.
(ii) Find the volume \(V\).
Markscheme
(a) \(\frac{\pi }{2}(1.57),{\text{ }}\frac{{3\pi }}{2}(4.71)\) A1A1
hence the coordinates are \(\left( {\frac{\pi }{2},{\text{ }}\frac{\pi }{2}} \right),{\text{ }}\left( {\frac{{3\pi }}{2},{\text{ }}\frac{{3\pi }}{2}} \right)\) A1
[3 marks]
(i) \(\pi \int_{\frac{\pi }{2}}^{\frac{{3\pi }}{2}} {\left( {{x^2} - {{(x + 2\cos x)}^2}} \right){\text{d}}x} \) A1A1A1
Note: Award A1 for \({x^2} - {(x + 2\cos x)^2}\), A1 for correct limits and A1 for \(\pi \).
(ii) \(6{\pi ^2}{\text{ }}( = 59.2)\) A2
Notes: Do not award ft from (b)(i).
[5 marks]
Examiners report
In a triangle \({\text{ABC, AB}} = 4{\text{ cm, BC}} = 3{\text{ cm}}\) and \({\rm{B\hat AC}} = \frac{\pi }{9}\).
Use the cosine rule to find the two possible values for AC.
Find the difference between the areas of the two possible triangles ABC.
Markscheme
METHOD 1
let \({\text{AC}} = x\)
\({3^2} = {x^2} + {4^2} - 8x\cos \frac{\pi }{9}\) M1A1
attempting to solve for \(x\) (M1)
\(x = 1.09,{\text{ }}6.43\) A1A1
METHOD 2
let \({\text{AC}} = x\)
using the sine rule to find a value of \(C\) M1
\({4^2} = {x^2} + {3^2} - 6x\cos (152.869 \ldots ^\circ ) \Rightarrow x = 1.09\) (M1)A1
\({4^2} = {x^2} + {3^2} - 6x\cos (27.131 \ldots ^\circ ) \Rightarrow x = 6.43\) (M1)A1
METHOD 3
let \({\text{AC}} = x\)
using the sine rule to find a value of \(B\) and a value of \(C\) M1
obtaining \(B = 132.869 \ldots ^\circ ,{\text{ }}7.131 \ldots ^\circ \) and \(C = 27.131 \ldots ^\circ ,{\text{ }}152.869 \ldots ^\circ \) A1
\((B = 2.319 \ldots ,{\text{ }}0.124 \ldots \) and \(C = 0.473 \ldots ,{\text{ }}2.668 \ldots )\)
attempting to find a value of \(x\) using the cosine rule (M1)
\(x = 1.09,{\text{ }}6.43\) A1A1
Note: Award M1A0(M1)A1A0 for one correct value of \(x\)
[5 marks]
\(\frac{1}{2} \times 4 \times 6.428 \ldots \times \sin \frac{\pi }{9}\) and \(\frac{1}{2} \times 4 \times 1.088 \ldots \times \sin \frac{\pi }{9}\) (A1)
(\(4.39747 \ldots \) and \(0.744833 \ldots \))
let \(D\) be the difference between the two areas
\(D = \frac{1}{2} \times 4 \times 6.428 \ldots \times \sin \frac{\pi }{9} - \frac{1}{2} \times 4 \times 1.088 \ldots \times \sin \frac{\pi }{9}\) (M1)
\((D = 4.39747 \ldots - 0.744833 \ldots )\)
\( = 3.65{\text{ (c}}{{\text{m}}^2})\) A1
[3 marks]
Examiners report
Let \(z = r(\cos \alpha + {\text{i}}\sin \alpha )\), where \(\alpha \) is measured in degrees, be the solution of \({z^5} - 1 = 0\) which has the smallest positive argument.
(i) Use the binomial theorem to expand \({(\cos \theta + {\text{i}}\sin \theta )^5}\).
(ii) Hence use De Moivre’s theorem to prove
\[\sin 5\theta = 5{\cos ^4}\theta \sin \theta - 10{\cos ^2}\theta {\sin ^3}\theta + {\sin ^5}\theta .\]
(iii) State a similar expression for \(\cos 5\theta \) in terms of \(\cos \theta \) and \(\sin \theta \).
Find the value of \(r\) and the value of \(\alpha \).
Using (a) (ii) and your answer from (b) show that \(16{\sin ^4}\alpha - 20{\sin ^2}\alpha + 5 = 0\).
Hence express \(\sin 72^\circ \) in the form \(\frac{{\sqrt {a + b\sqrt c } }}{d}\) where \(a,{\text{ }}b,{\text{ }}c,{\text{ }}d \in \mathbb{Z}\).
Markscheme
(i) \({(\cos \theta + {\text{i}}\sin \theta )^5}\)
\( = {\cos ^5}\theta + 5{\text{i}}{\cos ^4}\theta \sin \theta + 10{{\text{i}}^2}{\cos ^3}\theta {\sin ^2}\theta + \)
\(10{{\text{i}}^3}{\cos ^2}\theta {\sin ^3}\theta + 5{{\text{i}}^4}\cos \theta {\sin ^4}\theta + {{\text{i}}^5}{\sin ^5}\theta \) A1A1
\(( = {\cos ^5}\theta + 5{\text{i}}{\cos ^4}\theta \sin \theta - 10{\cos ^3}\theta {\sin ^2}\theta - \)
\(10{\text{i}}{\cos ^2}\theta {\sin ^3}\theta + 5\cos \theta {\sin ^4}\theta + {\text{i}}{\sin ^5}\theta )\)
Note: Award first A1 for correct binomial coefficients.
(ii) \({({\text{cis}}\theta )^5} = {\text{cis}}5\theta = \cos 5\theta + {\text{i}}\sin 5\theta \) M1
\( = {\cos ^5}\theta + 5{\text{i}}{\cos ^4}\theta \sin \theta - 10{\cos ^3}\theta {\sin ^2}\theta - 10{\text{i}}{\cos ^2}\theta {\sin ^3}\theta + \)
\(5\cos \theta {\sin ^4}\theta + {\text{i}}{\sin ^5}\theta \) A1
Note: Previous line may be seen in (i)
equating imaginary terms M1
\(\sin 5\theta = 5{\cos ^4}\theta \sin \theta - 10{\cos ^2}\theta {\sin ^3}\theta + {\sin ^5}\theta \) AG
(iii) equating real terms
\(\cos 5\theta = {\cos ^5}\theta - 10{\cos ^3}\theta {\sin ^2}\theta + 5\cos \theta {\sin ^4}\theta \) A1
[6 marks]
\({(r{\text{cis}}\alpha )^5} = 1 \Rightarrow {r^5}{\text{cis}}5\alpha = 1{\text{cis}}0\) M1
\({r^5} = 1 \Rightarrow r = 1\) A1
\(5\alpha = 0 \pm 360k,{\text{ }}k \in \mathbb{Z} \Rightarrow a = 72k\) (M1)
\(\alpha = 72^\circ \) A1
Note: Award M1A0 if final answer is given in radians.
[4 marks]
use of \(\sin (5 \times 72) = 0\) OR the imaginary part of \(1\) is \(0\) (M1)
\(0 = 5{\cos ^4}\alpha \sin \alpha - 10{\cos ^2}\alpha {\sin ^3}\alpha + {\sin ^5}\alpha \) A1
\(\sin \alpha \ne 0 \Rightarrow 0 = 5{(1 - {\sin ^2}\alpha )^2} - 10(1 - {\sin ^2}\alpha ){\sin ^2}\alpha + {\sin ^4}\alpha \) M1
Note: Award M1 for replacing \({\cos ^2}\alpha \).
\(0 = 5(1 - 2{\sin ^2}\alpha + {\sin ^4}\alpha ) - 10{\sin ^2}\alpha + 10{\sin ^4}\alpha + {\sin ^4}\alpha \) A1
Note: Award A1 for any correct simplification.
so \(16{\sin ^4}\alpha - 20{\sin ^2}\alpha + 5 = 0\) AG
[4 marks]
\({\sin ^2}\alpha = \frac{{20 \pm \sqrt {400 - 320} }}{{32}}\) M1A1
\(\sin \alpha = \pm \sqrt {\frac{{20 \pm \sqrt {80} }}{{32}}} \)
\(\sin \alpha = \frac{{ \pm \sqrt {10 \pm 2\sqrt 5 } }}{4}\) A1
Note: Award A1 regardless of signs. Accept equivalent forms with integral denominator, simplification may be seen later.
as \(72 > 60\), \(\sin 72 > \frac{{\sqrt 3 }}{2} = 0.866 \ldots \) we have to take both positive signs (or equivalent argument) R1
Note: Allow verification of correct signs with calculator if clearly stated
\(\sin 72 = \frac{{\sqrt {10 + 2\sqrt 5 } }}{4}\) A1
[5 marks]
Total [19 marks]
Examiners report
In part (i) many candidates tried to multiply it out the binomials rather than using the binomial theorem. In parts (ii) and (iii) many candidates showed poor understanding of complex numbers and made no attempt to equate real and imaginary parts. In a some cases the correct answer to part (iii) was seen although it was unclear how it was obtained.
This question was poorly done. Very few candidates made a good attempt to apply De Moivre’s theorem and most of them could not even equate the moduli to obtain \(r\).
This question was poorly done. From the few candidates that attempted it, many candidates started by writing down what they were trying to prove and made no progress.
Very few made a serious attempt to answer this question. Also very few realised that they could use the answers given in part (c) to attempt this part.

In triangle ABC, BC = a , AC = b , AB = c and [BD] is perpendicular to [AC].
(a) Show that \({\text{CD}} = b - c\cos A\).
(b) Hence, by using Pythagoras’ Theorem in the triangle BCD, prove the cosine rule for the triangle ABC.
(c) If \({\rm{A\hat BC}} = 60^\circ \) , use the cosine rule to show that \(c = \frac{1}{2}a \pm \sqrt {{b^2} - \frac{3}{4}{a^2}} \) .
The above three dimensional diagram shows the points P and Q which are respectively west and south-west of the base R of a vertical flagpole RS on horizontal ground. The angles of elevation of the top S of the flagpole from P and Q are respectively 25° and 40° , and PQ = 20 m .
Determine the height of the flagpole.
Markscheme
(a) \({\text{CD}} = {\text{AC}} - {\text{AD}} = b - c\cos A\) R1AG
[1 mark]
(b) METHOD 1
\({\text{B}}{{\text{C}}^2} = {\text{B}}{{\text{D}}^2} + {\text{C}}{{\text{D}}^2}\) (M1)
\({a^2} = {(c\sin A)^2} + {(b - c\cos A)^2}\) (A1)
\( = {c^2}{\sin ^2}A + {b^2} - 2bc\cos A + {c^2}{\cos ^2}A\) A1
\( = {b^2} + {c^2} - 2bc\cos A\) A1
[4 marks]
METHOD 2
\({\text{B}}{{\text{D}}^2} = {\text{A}}{{\text{B}}^2} - {\text{A}}{{\text{D}}^2} = {\text{B}}{{\text{C}}^2} - {\text{C}}{{\text{D}}^2}\) (M1)(A1)
\( \Rightarrow {c^2} - {c^2}{\cos ^2}A = {a^2} - {b^2} + 2bc\cos A - {c^2}{\cos ^2}A\) A1
\( \Rightarrow {a^2} = {b^2} + {c^2} - 2bc\cos A\) A1
[4 marks]
(c) METHOD 1
\({b^2} = {a^2} + {c^2} - 2ac\cos 60^\circ \Rightarrow {b^2} = {a^2} + {c^2} - ac\) (M1)A1
\( \Rightarrow {c^2} - ac + {a^2} - {b^2} = 0\) M1
\( \Rightarrow c = \frac{{a \pm \sqrt {{{( - a)}^2} - 4({a^2} - {b^2})} }}{2}\) (M1)A1
\( = \frac{{a \pm \sqrt {4{b^2} - 3{a^2}} }}{2} = \frac{a}{2} \pm \sqrt {\frac{{4{b^2} - 3{a^2}}}{4}} \) (M1)A1
\( = \frac{1}{2}a \pm \sqrt {{b^2} - \frac{3}{4}{a^2}} \) AG
Note: Candidates can only obtain a maximum of the first three marks if they verify that the answer given in the question satisfies the equation.
[7 marks]
METHOD 2
\({b^2} = {a^2} + {c^2} - 2ac\cos 60^\circ \Rightarrow {b^2} = {a^2} + {c^2} - ac\) (M1)A1
\({c^2} - ac = {b^2} - {a^2}\) (M1)
\({c^2} - ac + {\left( {\frac{a}{2}} \right)^2} = {b^2} - {a^2} + {\left( {\frac{a}{2}} \right)^2}\) M1A1
\({\left( {c - \frac{a}{2}} \right)^2} = {b^2} - \frac{3}{4}{a^2}\) (A1)
\(c - \frac{a}{2} = \pm \sqrt {{b^2} - \frac{3}{4}{a^2}} \) A1
\( \Rightarrow c = \frac{1}{2}a \pm \sqrt {{b^2} - \frac{3}{4}{a^2}} \) AG
[7 marks]
\({\text{PR}} = h\tan 55^\circ {\text{ , QR}} = h\tan 50^\circ {\text{ where RS}} = h\) M1A1A1
Use the cosine rule in triangle PQR. (M1)
\({20^2} = {h^2}{\tan ^2}55^\circ + {h^2}{\tan ^2}50^\circ - 2h\tan 55^\circ h\tan 50^\circ \cos 45^\circ \) A1
\({h^2} = \frac{{400}}{{{{\tan }^2}55^\circ + {{\tan }^2}50^\circ - 2\tan 55^\circ \tan 50^\circ \cos 45^\circ }}\) (A1)
\( = 379.9…\) (A1)
\(h = 19.5{\text{ (m)}}\) A1
[8 marks]
Examiners report
The majority of the candidates attempted part A of this question. Parts (a) and (b) were answered reasonably well. In part (c), many candidates scored the first two marks, but failed to recognize that the result was a quadratic equation, and hence did not progress further.
Correct answers to part B were rarely seen. Although many candidates expressed RS correctly in two different ways, they failed to go on to use the cosine rule.
Let \(f\left( x \right) = {\text{tan}}\left( {x + \pi } \right){\text{cos}}\left( {x - \frac{\pi }{2}} \right)\) where \(0 < x < \frac{\pi }{2}\).
Express \(f\left( x \right)\) in terms of sin \(x\) and cos \(x\).
Markscheme
\({\text{tan}}\left( {x + \pi } \right) = \tan x\left( { = \frac{{{\text{sin}}\,x}}{{{\text{cos}}\,x}}} \right)\) (M1)A1
\({\text{cos}}\left( {x - \frac{\pi }{2}} \right) = {\text{sin}}\,x\) (M1)A1
Note: The two M1s can be awarded for observation or for expanding.
\({\text{tan}}\left( {x + \pi } \right) = {\text{cos}}\left( {x - \frac{\pi }{2}} \right) = \frac{{{\text{si}}{{\text{n}}^2}\,x}}{{{\text{cos}}\,x}}\) A1
[5 marks]
Examiners report
ABCD is a quadrilateral where \({\text{AB}} = 6.5,{\text{ BC}} = 9.1,{\text{ CD}} = 10.4,{\text{ DA}} = 7.8\) and \({\rm{C\hat DA}} = 90^\circ \). Find \({\rm{A\hat BC}}\), giving your answer correct to the nearest degree.
Markscheme
\({\text{A}}{{\text{C}}^2} = {7.8^2} + {10.4^2}\) (M1)
\({\text{AC}} = 13\) (A1)
use of cosine rule eg, \(\cos ({\rm{A\hat BC}}) = \frac{{{{6.5}^2} + {{9.1}^2} - {{13}^2}}}{{2(6.5)(9.1)}}\) M1
\({\rm{A\hat BC}} = 111.804 \ldots ^\circ {\text{ }}( = 1.95134 \ldots )\) (A1)
\( = 112^\circ \) A1
[5 marks]
Examiners report
Well done by most candidates. A small number of candidates did not express the required angle correct to the nearest degree.
A water trough which is 10 metres long has a uniform cross-section in the shape of a semicircle with radius 0.5 metres. It is partly filled with water as shown in the following diagram of the cross-section. The centre of the circle is O and the angle KOL is \(\theta \) radians.

The volume of water is increasing at a constant rate of \(0.0008{\text{ }}{{\text{m}}^3}{{\text{s}}^{ - 1}}\).
Find an expression for the volume of water \(V{\text{ }}({{\text{m}}^3})\) in the trough in terms of \(\theta \).
Calculate \(\frac{{{\text{d}}\theta }}{{{\text{d}}t}}\) when \(\theta = \frac{\pi }{3}\).
Markscheme
area of segment \( = \frac{1}{2} \times {0.5^2} \times (\theta - \sin \theta )\) M1A1
\(V = {\text{area of segment}} \times 10\)
\(V = \frac{5}{4}(\theta - \sin \theta )\) A1
[3 marks]
METHOD 1
\(\frac{{{\text{d}}V}}{{{\text{d}}t}} = \frac{5}{4}(1 - \cos \theta )\frac{{{\text{d}}\theta }}{{{\text{d}}t}}\) M1A1
\(0.0008 = \frac{5}{4}\left( {1 - \cos \frac{\pi }{3}} \right)\frac{{{\text{d}}\theta }}{{{\text{d}}t}}\) (M1)
\(\frac{{{\text{d}}\theta }}{{{\text{d}}t}} = 0.00128{\text{ }}({\text{rad}}\,{s^{ - 1}})\) A1
METHOD 2
\(\frac{{{\text{d}}\theta }}{{{\text{d}}t}} = \frac{{{\text{d}}\theta }}{{{\text{d}}V}} \times \frac{{{\text{d}}V}}{{{\text{d}}t}}\) (M1)
\(\frac{{{\text{d}}V}}{{{\text{d}}\theta }} = \frac{5}{4}(1 - \cos \theta )\) A1
\(\frac{{{\text{d}}\theta }}{{{\text{d}}t}} = \frac{{4 \times 0.0008}}{{5\left( {1 - \cos \frac{\pi }{3}} \right)}}\) (M1)
\(\frac{{{\text{d}}\theta }}{{{\text{d}}t}} = 0.00128\left( {\frac{4}{{3125}}} \right)({\text{rad }}{s^{ - 1}})\) A1
[4 marks]
Examiners report
Triangle \(ABC\) has area \({\text{21 c}}{{\text{m}}^{\text{2}}}\). The sides \(AB\) and \(AC\) have lengths \(6\) cm and \(11\) cm respectively. Find the two possible lengths of the side \(BC\).
Markscheme
\(21 = \frac{1}{2} \bullet 6 \bullet 11 \bullet \sin A\) (M1)
\(\sin A = \frac{7}{{11}}\) (A1)
EITHER
\(\hat A = 0.6897 \ldots ,{\text{ }}2.452 \ldots \left( {\hat A = \arcsin \frac{7}{{11}},{\text{ }}\pi - \arcsin \frac{7}{{11}} = 39.521 \ldots ^\circ ,{\text{ }}140.478 \ldots ^\circ } \right)\) (A1)
OR
\(\cos A = \pm \frac{{6\sqrt 2 }}{{11}}\;\;\;( = \pm 0.771 \ldots )\) (A1)
THEN
\({\text{B}}{{\text{C}}^2} = {6^2} + {11^2} - 2 \bullet 6 \bullet 11\cos A\) (M1)
\({\text{BC}} = 16.1\) or \(7.43\) A1A1
Note: Award M1A1A0M1A1A0 if only one correct solution is given.
[6 marks]
Examiners report
Consider the planes \({\pi _1}:x - 2y - 3z = 2{\text{ and }}{\pi _2}:2x - y - z = k\) .
Find the angle between the planes \({\pi _1}\)and \({\pi _2}\) .
The planes \({\pi _1}\) and \({\pi _2}\) intersect in the line \({L_1}\) . Show that the vector equation of
\({L_1}\) is \(r = \left( {\begin{array}{*{20}{c}}
0\\
{2 - 3k}\\
{2k - 2}
\end{array}} \right) + t\left( {\begin{array}{*{20}{c}}
1\\
5\\
{ - 3}
\end{array}} \right)\)
The line \({L_2}\) has Cartesian equation \(5 - x = y + 3 = 2 - 2z\) . The lines \({L_1}\) and \({L_2}\) intersect at a point X. Find the coordinates of X.
Determine a Cartesian equation of the plane \({\pi _3}\) containing both lines \({L_1}\) and \({L_2}\) .
Let Y be a point on \({L_1}\) and Z be a point on \({L_2}\) such that XY is perpendicular to YZ and the area of the triangle XYZ is 3. Find the perimeter of the triangle XYZ.
Markscheme
Note: Accept alternative notation for vectors (eg \(\langle a{\text{, }}b{\text{, }}c\rangle {\text{ or }}\left( {a{\text{, }}b{\text{, }}c} \right)\)).
\(\boldsymbol{n} = \left( {\begin{array}{*{20}{c}}
1 \\
{ - 2} \\
{ - 3}
\end{array}} \right)\) and \(\boldsymbol{m} = \left( {\begin{array}{*{20}{c}}
2 \\
{ - 1} \\
{ - 1}
\end{array}} \right)\) (A1)
\(\cos \theta = \frac{{\boldsymbol{n} \cdot \boldsymbol{m}}}{{\left| \boldsymbol{n} \right|\left| \boldsymbol{m} \right|}}\) (M1)
\(\cos \theta = \frac{{2 + 2 + 3}}{{\sqrt {1 + 4 + 9} \sqrt {4 + 1 + 1} }} = \frac{7}{{\sqrt {14} \sqrt 6 }}\) A1
\(\theta = 40.2^\circ \,\,\,\,\,(0.702{\text{ rad}})\) A1
[4 marks]
Note: Accept alternative notation for vectors (eg \(\langle a{\text{, }}b{\text{, }}c\rangle {\text{ or }}\left( {a{\text{, }}b{\text{, }}c} \right)\)).
METHOD 1
eliminate z from x – 2y – 3z = 2 and 2x – y – z = k
\(5x - y = 3k - 2 \Rightarrow x = \frac{{y - (2 - 3k)}}{5}\) M1A1
eliminate y from x – 2y – 3z = 2 and 2x – y – z = k
\(3x + z = 2k - 2 \Rightarrow x = \frac{{z - (2k - 2)}}{{ - 3}}\) A1
x = t, y = (2 − 3k) + 5t and z = (2k − 2) − 3t A1A1
\(r = \left( {\begin{array}{*{20}{c}}
0\\
{2 - 3k}\\
{2k - 2}
\end{array}} \right) + t\left( {\begin{array}{*{20}{c}}
1\\
5\\
{ - 3}
\end{array}} \right)\) AG
[5 marks]
METHOD 2
\(\left( {\begin{array}{*{20}{c}}
1\\
{ - 2}\\
{ - 3}
\end{array}} \right) \times \left( {\begin{array}{*{20}{c}}
2\\
{ - 1}\\
{ - 1}
\end{array}} \right) = \left( {\begin{array}{*{20}{c}}
{ - 1}\\
{ - 5}\\
3
\end{array}} \right) \Rightarrow {\text{direction is }}\left( {\begin{array}{*{20}{c}}
1\\
5\\
{ - 3}
\end{array}} \right)\) M1A1
Let x = 0
\(0 - 2y - 3z = 2{\text{ and }}2 \times 0 - y - z = k\) (M1)
solve simultaneously (M1)
\(y = 2 - 3k{\text{ and }}z = 2k - 2\) A1
therefore r \( = \left( {\begin{array}{*{20}{c}}
0\\
{2 - 3k}\\
{2k - 2}
\end{array}} \right) + t\left( {\begin{array}{*{20}{c}}
1\\
5\\
{ - 3}
\end{array}} \right)\) AG
[5 marks]
METHOD 3
substitute \(x = t,{\text{ }}y = (2 - 3k) + 5t{\text{ and }}z = (2k - 2) - 3t{\text{ into }}{\pi _1}{\text{ and }}{\pi _2}\) M1
for \({\pi _1}:t - 2(2 - 3k + 5t) - 3(2k - 2 - 3t) = 2\) A1
for \({\pi _2}:2t - (2 - 3k + 5t) - (2k - 2 - 3t) = k\) A1
the planes have a unique line of intersection R2
therefore the line is \(r = \left( {\begin{array}{*{20}{c}}
0\\
{2 - 3k}\\
{2k - 2}
\end{array}} \right) + t\left( {\begin{array}{*{20}{c}}
1\\
5\\
{ - 3}
\end{array}} \right)\) AG
[5 marks]
Note: Accept alternative notation for vectors (eg \(\langle a{\text{, }}b{\text{, }}c\rangle {\text{ or }}\left( {a{\text{, }}b{\text{, }}c} \right)\)).
\(5 - t = (2 - 3k + 5t) + 3 = 2 - 2(2k - 2 - 3t)\) M1A1
Note: Award M1A1 if candidates use vector or parametric equations of \({L_2}\)
eg \(\left( {\begin{array}{*{20}{c}}
0\\
{2 - 3k}\\
{2k - 2}
\end{array}} \right) + t\left( {\begin{array}{*{20}{c}}
1\\
5\\
{ - 3}
\end{array}} \right) = \left( {\begin{array}{*{20}{c}}
5\\
{ - 3}\\
1
\end{array}} \right) + s\left( {\begin{array}{*{20}{c}}
{ - 2}\\
2\\
{ - 1}
\end{array}} \right)\) or \( \Rightarrow \left\{ {\begin{array}{*{20}{l}}
{t = 5 - 2s}\\
{2 - 3k + 5t = - 3 + 2s}\\
{2k - 2 - 3t = 1 + s}
\end{array}} \right.\)
solve simultaneously M1
\(k = 2,{\text{ }}t = 1{\text{ }}(s = 2)\) A1
intersection point (\(1\), \(1\), \( - 1\)) A1
[5 marks]
Note: Accept alternative notation for vectors (eg \(\langle a{\text{, }}b{\text{, }}c\rangle {\text{ or }}\left( {a{\text{, }}b{\text{, }}c} \right)\)).
\({\overrightarrow l _2} = \left( {\begin{array}{*{20}{c}}
2\\
{ - 2}\\
1
\end{array}} \right)\) A1
\({\overrightarrow l _1} \times {\overrightarrow l _2} = \left| {\begin{array}{*{20}{c}}
\boldsymbol{i}&\boldsymbol{j}&\boldsymbol{k}\\
1&5&{ - 3}\\
2&{ - 2}&1
\end{array}} \right| = \left( {\begin{array}{*{20}{c}}
{ - 1}\\
{ - 7}\\
{ - 12}
\end{array}} \right)\) (M1)A1
\(\boldsymbol{r} \cdot \left( {\begin{array}{*{20}{c}}
1\\
7\\
{12}
\end{array}} \right) = \left( {\begin{array}{*{20}{c}}
1\\
1\\
{ - 1}
\end{array}} \right) \cdot \left( {\begin{array}{*{20}{c}}
1\\
7\\
{12}
\end{array}} \right)\) (M1)
\(x + 7y + 12z = - 4\) A1
[5 marks]
Note: Accept alternative notation for vectors (eg \(\langle a{\text{, }}b{\text{, }}c\rangle {\text{ or }}\left( {a{\text{, }}b{\text{, }}c} \right)\)).
Let \(\theta \) be the angle between the lines \({\overrightarrow l _1} = \left( {\begin{array}{*{20}{c}}
1\\
5\\
{ - 3}
\end{array}} \right)\) and \({\overrightarrow l _2} = \left( {\begin{array}{*{20}{c}}
2\\
{ - 2}\\
1
\end{array}} \right)\)
\(\cos \theta = \frac{{\left| {2 - 10 - 3} \right|}}{{\sqrt {35} \sqrt 9 }} \Rightarrow \theta = 0.902334...{\text{ }}51.699...^\circ )\) (M1)
as the triangle XYZ has a right angle at Y,
\({\text{XZ}} = a \Rightarrow {\text{YZ}} = a\sin \theta {\text{ and XY}} = a\cos \theta \) (M1)
\({\text{area = 3}} \Rightarrow \frac{{{a^2}\sin \theta \cos \theta }}{2} = 3\) (M1)
\(a = 3.5122...\) (A1)
perimeter \( = a + a\sin \theta + a\cos \theta = 8.44537... = 8.45\) A1
Note: If candidates attempt to find coordinates of Y and Z award M1 for expression of vector YZ in terms of two parameters, M1 for attempt to use perpendicular condition to determine relation between parameters, M1 for attempt to use the area to find the parameters and A2 for final answer.
[5 marks]
Examiners report
Although this was the last question in part B, it was answered surprisingly well by many candidates, except for part (e). Even those who had not done so well elsewhere often gained a number of marks in some parts of the question. Nevertheless the presence of parameters seemed to have blocked the abilities of weaker candidates to solve situations in which vectors were involved. Mathematical skills for this particular question were sometimes remarkable, however, calculations proved incomplete due to the way that planes were presented. Most candidates found a correct angle in part (a). Occasional arithmetic errors in calculating the magnitude of a vector and dot product occurred. In part (b) the vector product approach was popular. In some case candidates simply verified the result by substitution. There was a lot of simultaneous equation solving, much of which was not very pretty. In part (c), a number of candidates made errors when attempting to solve a system of equations involving parameters. Many of the results for the point were found in terms of k. It was notorious that candidates did not use their GDC to try to find the coordinates of the intersection point between lines. In part (d), a number of candidates used an incorrect point but this part was often done well.
Very few excellent answers to part (e) were seen using an efficient method. Most candidates attempted methods involving heavy algebraic manipulation and had little success in this part of the question.
Although this was the last question in part B, it was answered surprisingly well by many candidates, except for part (e). Even those who had not done so well elsewhere often gained a number of marks in some parts of the question. Nevertheless the presence of parameters seemed to have blocked the abilities of weaker candidates to solve situations in which vectors were involved. Mathematical skills for this particular question were sometimes remarkable, however, calculations proved incomplete due to the way that planes were presented. Most candidates found a correct angle in part (a). Occasional arithmetic errors in calculating the magnitude of a vector and dot product occurred. In part (b) the vector product approach was popular. In some case candidates simply verified the result by substitution. There was a lot of simultaneous equation solving, much of which was not very pretty. In part (c), a number of candidates made errors when attempting to solve a system of equations involving parameters. Many of the results for the point were found in terms of k. It was notorious that candidates did not use their GDC to try to find the coordinates of the intersection point between lines. In part (d), a number of candidates used an incorrect point but this part was often done well.
Very few excellent answers to part (e) were seen using an efficient method. Most candidates attempted methods involving heavy algebraic manipulation and had little success in this part of the question.
Although this was the last question in part B, it was answered surprisingly well by many candidates, except for part (e). Even those who had not done so well elsewhere often gained a number of marks in some parts of the question. Nevertheless the presence of parameters seemed to have blocked the abilities of weaker candidates to solve situations in which vectors were involved. Mathematical skills for this particular question were sometimes remarkable, however, calculations proved incomplete due to the way that planes were presented. Most candidates found a correct angle in part (a). Occasional arithmetic errors in calculating the magnitude of a vector and dot product occurred. In part (b) the vector product approach was popular. In some case candidates simply verified the result by substitution. There was a lot of simultaneous equation solving, much of which was not very pretty. In part (c), a number of candidates made errors when attempting to solve a system of equations involving parameters. Many of the results for the point were found in terms of k. It was notorious that candidates did not use their GDC to try to find the coordinates of the intersection point between lines. In part (d), a number of candidates used an incorrect point but this part was often done well.
Very few excellent answers to part (e) were seen using an efficient method. Most candidates attempted methods involving heavy algebraic manipulation and had little success in this part of the question.
Although this was the last question in part B, it was answered surprisingly well by many candidates, except for part (e). Even those who had not done so well elsewhere often gained a number of marks in some parts of the question. Nevertheless the presence of parameters seemed to have blocked the abilities of weaker candidates to solve situations in which vectors were involved. Mathematical skills for this particular question were sometimes remarkable, however, calculations proved incomplete due to the way that planes were presented. Most candidates found a correct angle in part (a). Occasional arithmetic errors in calculating the magnitude of a vector and dot product occurred. In part (b) the vector product approach was popular. In some case candidates simply verified the result by substitution. There was a lot of simultaneous equation solving, much of which was not very pretty. In part (c), a number of candidates made errors when attempting to solve a system of equations involving parameters. Many of the results for the point were found in terms of k. It was notorious that candidates did not use their GDC to try to find the coordinates of the intersection point between lines. In part (d), a number of candidates used an incorrect point but this part was often done well.
Very few excellent answers to part (e) were seen using an efficient method. Most candidates attempted methods involving heavy algebraic manipulation and had little success in this part of the question.
Although this was the last question in part B, it was answered surprisingly well by many candidates, except for part (e). Even those who had not done so well elsewhere often gained a number of marks in some parts of the question. Nevertheless the presence of parameters seemed to have blocked the abilities of weaker candidates to solve situations in which vectors were involved. Mathematical skills for this particular question were sometimes remarkable, however, calculations proved incomplete due to the way that planes were presented. Most candidates found a correct angle in part (a). Occasional arithmetic errors in calculating the magnitude of a vector and dot product occurred. In part (b) the vector product approach was popular. In some case candidates simply verified the result by substitution. There was a lot of simultaneous equation solving, much of which was not very pretty. In part (c), a number of candidates made errors when attempting to solve a system of equations involving parameters. Many of the results for the point were found in terms of k. It was notorious that candidates did not use their GDC to try to find the coordinates of the intersection point between lines. In part (d), a number of candidates used an incorrect point but this part was often done well.
Very few excellent answers to part (e) were seen using an efficient method. Most candidates attempted methods involving heavy algebraic manipulation and had little success in this part of the question.
In triangle \(ABC\),
\(3\sin B + 4\cos C = 6\) and
\(4\sin C + 3\cos B = 1\).
Show that \(\sin (B + C) = \frac{1}{2}\).
Robert conjectures that \({\rm{C\hat AB}}\) can have two possible values.
Show that Robert’s conjecture is incorrect by proving that \({\rm{C\hat AB}}\) has only one possible value.
Markscheme
METHOD 1
squaring both equations M1
\(9{\sin ^2}B + 24\sin B\cos C + 16{\cos ^2}C = 36\) (A1)
\(9{\cos ^2}B + 24\cos B\sin C + 16{\sin ^2}C = 1\) (A1)
adding the equations and using \({\cos ^2}\theta + {\sin ^2}\theta = 1\) to obtain \(9 + 24\sin (B + C) + 16 = 37\) M1
\(24(\sin B\cos C + \cos B\sin C) = 12\) A1
\(24\sin (B + C) = 12\) (A1)
\(\sin (B + C) = \frac{1}{2}\) AG
METHOD 2
substituting for \(\sin B\) and \(\cos B\) to obtain
\(\sin (B + C) = \left( {\frac{{6 - 4\cos C}}{3}} \right)\cos C + \left( {\frac{{1 - 4\sin C}}{3}} \right)\sin C\) M1
\( = \frac{{6\cos C + \sin C - 4}}{3}\;\;\;\)(or equivalent) A1
substituting for \(\sin C\) and \(\cos C\) to obtain
\(\sin (B + C) = \sin B\left( {\frac{{6 - 3\sin B}}{4}} \right) + \cos B\left( {\frac{{1 - 3\cos B}}{4}} \right)\) M1
\( = \frac{{\cos B + 6\sin B - 3}}{4}\;\;\;\)(or equivalent) A1
Adding the two equations for \(\sin (B + C)\):
\(2\sin (B + C) = \frac{{(18\sin B + 24\cos C) + (4\sin C + 3\cos B) - 25}}{{12}}\) A1
\(\sin (B + C) = \frac{{36 + 1 - 25}}{{24}}\) (A1)
\(\sin (B + C) = \frac{1}{2}\) AG
METHOD 3
substituting \(\sin B\) and \(\sin C\) to obtain
\(\sin (B + C) = \left( {\frac{{6 - 4\cos C}}{3}} \right)\cos C + \cos B\left( {\frac{{1 - 3\cos B}}{4}} \right)\) M1
substituting for \(\cos B\) and \(\cos B\) to obtain
\(\sin (B + C) = \sin B\left( {\frac{{6 - 3\sin B}}{4}} \right) + \left( {\frac{{1 - 4\sin C}}{3}} \right)\sin C\) M1
Adding the two equations for \(\sin (B + C)\):
\(2\sin (B + C) = \frac{{6\cos C + \sin C - 4}}{3} + \frac{{6\sin B + \cos B - 3}}{4}\;\;\;\)(or equivalent) A1A1
\(2\sin (B + C) = \frac{{(18\sin B + 24\cos C) + (4\sin C + 3\cos B) - 25}}{{12}}\) A1
\(\sin (B + C) = \frac{{36 + 1 - 25}}{{24}}\) (A1)
\(\sin (B + C) = \frac{1}{2}\) AG
[6 marks]
\(\sin A = \sin \left( {180^\circ - (B + C)} \right)\) so \(\sin A = \sin (B + C)\) R1
\(\sin (B + C) = \frac{1}{2} \Rightarrow \sin A = \frac{1}{2}\) A1
\( \Rightarrow A = 30^\circ \) or \(A = 150^\circ \) A1
if \(A = 150^\circ \), then \(B < 30^\circ \) R1
for example, \(3\sin B + 4\cos C < \frac{3}{2} + 4 < 6\), ie a contradiction R1
only one possible value \((A = 30^\circ )\) AG
[5 marks]
Total [11 marks]
Examiners report
Most candidates found this a difficult question with a large number of candidates either not attempting it or making little to no progress. In part (a), most successful candidates squared both equations, added them together, used \({\cos ^2}\theta + {\sin ^2}\theta = 1\) and then simplified their result to show that \(\sin (B + C) = \frac{1}{2}\). A number of candidates started with a correct alternative method (see the markscheme for alternative approaches) but were unable to follow them through fully.
In part (b), a small percentage of candidates were able to obtain \(B + C = 30^\circ {\text{ }}(A = 150^\circ )\) or \(B + C = 150^\circ {\text{ }}(A = 30^\circ )\) but were then unable to demonstrate or explain why \(A = 30^\circ \) is the only possible value for triangle ABC.
Find the set of values of \(k\) that satisfy the inequality \({k^2} - k - 12 < 0\).
The triangle ABC is shown in the following diagram. Given that \(\cos B < \frac{1}{4}\), find the range of possible values for AB.

Markscheme
\({k^2} - k - 12 < 0\)
\((k - 4)(k + 3) < 0\) (M1)
\( - 3 < k < 4\) A1
[2 marks]
\(\cos B = \frac{{{2^2} + {c^2} - {4^2}}}{{4c}}{\text{ }}({\text{or }}16 = {2^2} + {c^2} - 4c\cos B)\) M1
\( \Rightarrow \frac{{{c^2} - 12}}{{4c}} < \frac{1}{4}\) A1
\( \Rightarrow {c^2} - c - 12 < 0\)
from result in (a)
\(0 < {\text{AB}} < 4\) or \( - 3 < {\text{AB}} < 4\) (A1)
but AB must be at least 2
\( \Rightarrow 2 < {\text{AB}} < 4\) A1
Note: Allow \( \leqslant {\text{AB}}\) for either of the final two A marks.
[4 marks]
Examiners report
A triangle \(ABC\) has \(\hat A = 50^\circ \), \({\text{AB}} = 7{\text{ cm}}\) and \({\text{BC}} = 6{\text{ cm}}\). Find the area of the triangle given that it is smaller than \(10{\text{ c}}{{\text{m}}^2}\).
Markscheme

METHOD 1
\(\frac{6}{{\sin 50}} = \frac{7}{{\sin C}} \Rightarrow \sin C = \frac{{7\sin 50}}{6}\) (M1)
\(C = 63.344 \ldots \) (A1)
or\(\;\;\;C = 116.655 \ldots \) (A1)
\(B = 13.344 \ldots \;\;\;({\text{or }}B = 66.656 \ldots )\) (A1)
\({\text{area}} = \frac{1}{2} \times 6 \times 7 \times \sin 13.344 \ldots \;\;\;\left( {{\text{or }}\frac{1}{2} \times 6 \times 7 \times \sin 66.656 \ldots } \right)\) (M1)
\(4.846 \ldots \;\;\;({\text{or }} = 19.281 \ldots )\)
so answer is \(4.85{\text{ (c}}{{\text{m}}^2}{\text{)}}\) A1
METHOD 2
\({6^2} = {7^2} + {b^2} - 2 \times 7b\cos 50\) (M1)(A1)
\({b^2} - 14b\cos 50 + 13 = 0\;\;\;\)or equivalent method to solve the above equation (M1)
\(b = 7.1912821 \ldots \;\;\;{\text{or}}\;\;\;b = 1.807744 \ldots \) (A1)
\({\text{area}} = \frac{1}{2} \times 7 \times 1.8077 \ldots \sin 50 = 4.846 \ldots \) (M1)
\(\left( {{\text{or }}\frac{1}{2} \times 7 \times 7.1912821 \ldots \sin 50 = 19.281 \ldots } \right)\)
so answer is \(4.85{\text{ (c}}{{\text{m}}^2}{\text{)}}\) A1
METHOD 3

Diagram showing triangles \(ACB\) and \(ADB\) (M1)
\(h = 7\sin (50) = 5.3623 \ldots {\text{ (cm)}}\) (M1)
\(\alpha = \arcsin \frac{h}{6} = 63.3442 \ldots \) (M1)
\({\text{AC}} = {\text{AD}} - {\text{CD}} = 7\cos 50 - 6\cos \alpha = 1.8077 \ldots {\text{ (cm)}}\) (M1)
\({\text{area}} = \frac{1}{2} \times 1.8077 \ldots \times 5.3623 \ldots \) (M1)
\( = 4.85{\text{ (c}}{{\text{m}}^{\text{2}}}{\text{)}}\) A1
Total [6 marks]
Examiners report
Most candidates scored 4/6 showing that candidates do not have enough experience with the ambiguous case. Very few candidates drew a suitable diagram that would have illustrated this fact which could have helped them to understand the requirement that the answer should be less than 10. In fact many candidates ignored this requirement or used it incorrectly to solve an inequality.
A rectangle is drawn around a sector of a circle as shown. If the angle of the sector is 1 radian and the area of the sector is \(7{\text{ c}}{{\text{m}}^2}\), find the dimensions of the rectangle, giving your answers to the nearest millimetre.
Markscheme
\(\frac{1}{2}{r^2} \times 1 = 7\) M1
\(r = 3.7 \ldots \left( { = \sqrt {14} } \right)\) (or 37… mm) (A1)
\({\text{height}} = 2r\cos \left( {\frac{{\pi - 1}}{2}} \right){\text{ }}\left( {{\text{or }}2r\sin \frac{1}{2}} \right)\) (M1)(A1)
3.59 or anything that rounds to 3.6 A1
so the dimensions are 3.7 by 3.6 (cm or 37 by 36 mm) A1
[6 marks]
Examiners report
Most students found the value of \(r\) , but a surprising number had difficulties finding the height of the rectangle by any one of the many methods possible. Those that did, frequently failed to round their final answer to the required accuracy leading to few students obtaining full marks on this question. A surprising number of students found the area – clearly misinterpreting the meaning of “dimensions”.
The diagram below shows two concentric circles with centre O and radii 2 cm and 4 cm.
The points P and Q lie on the larger circle and \({\rm{P}}\hat {\text{O}}{\text{Q}} = x\) , where \(0 < x < \frac{\pi }{2}\) .
(a) Show that the area of the shaded region is \(8\sin x - 2x\) .
(b) Find the maximum area of the shaded region.
Markscheme
(a) shaded area area of triangle area of sector, i.e. (M1)
\(\left( {\frac{1}{2} \times {4^2}\sin x} \right) - \left( {\frac{1}{2}{2^2}x} \right) = 8\sin x - 2x\) A1A1AG
(b) EITHER
any method from GDC gaining \(x \approx 1.32\) (M1)(A1)
maximum value for given domain is \(5.11\) A2
OR
\(\frac{{{\text{d}}A}}{{{\text{d}}x}} = 8\cos x - 2\) A1
set \(\frac{{{\text{d}}A}}{{{\text{d}}x}} = 0\), hence \(8\cos x - 2 = 0\) M1
\(\cos x = \frac{1}{4} \Rightarrow x \approx 1.32\) A1
hence \({A_{\max }} = 5.11\) A1
[7 marks]
Examiners report
Generally a well answered question.
In the right circular cone below, O is the centre of the base which has radius 6 cm. The points B and C are on the circumference of the base of the cone. The height AO of the cone is 8 cm and the angle \({\rm{B\hat OC}}\) is 60°.
Calculate the size of the angle \({\rm{B\hat AC}}\).
Markscheme
AC = AB = 10 (cm) A1
triangle OBC is equilateral (M1)
BC = 6 (cm) A1
EITHER
\({\rm{B\hat AC}} = 2\arcsin \frac{3}{{10}}\) M1A1
\({\rm{B\hat AC}} = 34.9^\circ \,\,\,\,\,\)(accept 0.609 radians) A1
OR
\(\cos {\rm{B\hat AC = }}\frac{{{{10}^2} + {{10}^2} - {6^2}}}{{2 \times 10 \times 10}} = \frac{{164}}{{200}}\) M1A1
\({\rm{B\hat AC}} = 34.9^\circ \,\,\,\,\,\)(accept 0.609 radians) A1
Note: Other valid methods may be seen.
[6 marks]
Examiners report
The question was generally well answered, but some students attempted to find the length of arc BC.
Points A , B and T lie on a line on an indoor soccer field. The goal, [AB] , is 2 metres wide. A player situated at point P kicks a ball at the goal. [PT] is perpendicular to (AB) and is 6 metres from a parallel line through the centre of [AB] . Let PT be \(x\) metros and let \(\alpha = {\rm{A\hat PB}}\) measured in degrees. Assume that the ball travels along the floor.

The maximum for \(\tan \alpha \) gives the maximum for \(\alpha \).
Find the value of \(\alpha \) when \(x = 10\).
Show that \(\tan \alpha = \frac{{2x}}{{{x^2} + 35}}\).
(i) Find \(\frac{{\text{d}}}{{{\text{d}}x}}(\tan \alpha )\).
(ii) Hence or otherwise find the value of \(\alpha \) such that \(\frac{{\text{d}}}{{{\text{d}}x}}(\tan \alpha ) = 0\).
(iii) Find \(\frac{{{{\text{d}}^2}}}{{{\text{d}}{x^2}}}(\tan \alpha )\) and hence show that the value of \(\alpha \) never exceeds 10°.
Find the set of values of \(x\) for which \(\alpha \geqslant 7^\circ \).
Markscheme
EITHER
\(\alpha = \arctan \frac{7}{{10}} - \arctan \frac{5}{{10}}{\text{ }}( = 34.992 \ldots ^\circ - 26.5651 \ldots ^\circ )\) (M1)(A1)(A1)
Note: Award (M1) for \(\alpha = {\rm{A\hat PT}} - {\rm{B\hat PT}}\), (A1) for a correct \({\rm{A\hat PT}}\) and (A1) for a correct \({\rm{B\hat PT}}\).
OR
\(\alpha = \arctan {\text{ }}2 - \arctan \frac{{10}}{7}{\text{ }}( = 63.434 \ldots ^\circ - 55.008 \ldots ^\circ )\) (M1)(A1)(A1)
Note: Award (M1) for \(\alpha = {\rm{P\hat BT}} - {\rm{P\hat AT}}\), (A1) for a correct \({\rm{P\hat BT}}\) and (A1) for a correct \({\rm{P\hat AT}}\).
OR
\(\alpha = \arccos \left( {\frac{{125 + 149 - 4}}{{2 \times \sqrt {125} \times \sqrt {149} }}} \right)\) (M1)(A1)(A1)
Note: Award (M1) for use of cosine rule, (A1) for a correct numerator and (A1) for a correct denominator.
THEN
\( = 8.43^\circ \) A1
[4 marks]
EITHER
\(\tan \alpha = \frac{{\frac{7}{x} - \frac{5}{x}}}{{1 + \left( {\frac{7}{x}} \right)\left( {\frac{5}{x}} \right)}}\) M1A1A1
Note: Award M1 for use of \(\tan (A - B)\), A1 for a correct numerator and A1 for a correct denominator.
\( = \frac{{\frac{2}{x}}}{{1 + \frac{{35}}{{{x^2}}}}}\) M1
OR
\(\tan \alpha = \frac{{\frac{x}{5} - \frac{x}{7}}}{{1 + \left( {\frac{x}{5}} \right)\left( {\frac{x}{7}} \right)}}\) M1A1A1
Note: Award M1 for use of xxx, A1 for a correct numerator and A1 for a correct denominator.
\( = \frac{{\frac{{2x}}{{35}}}}{{1 + \frac{{{x^2}}}{{35}}}}\) M1
OR
\(\cos \alpha = \frac{{{x^2} + 35}}{{\sqrt {({x^2} + 25)({x^2} + 49)} }}\) M1A1
Note: Award M1 for either use of the cosine rule or use of \(\cos (A - B)\).
\(\sin \alpha \frac{{2x}}{{\sqrt {({x^2} + 25)({x^2} + 49)} }}\) A1
\(\tan \alpha = \frac{{\frac{{2x}}{{\sqrt {({x^2} + 25)({x^2} + 49)} }}}}{{\frac{{{x^2} + 35}}{{\sqrt {({x^2} + 25)({x^2} + 49)} }}}}\) M1
THEN
\(\tan \alpha = \frac{{2x}}{{{x^2} + 35}}\) AG
[4 marks]
(i) \(\frac{{\text{d}}}{{{\text{d}}x}}(\tan \alpha ) = \frac{{2({x^2} + 35) - (2x)(2x)}}{{{{({x^2} + 35)}^2}}}{\text{ }}\left( { = \frac{{70 - 2{x^2}}}{{{{({x^2} + 35)}^2}}}} \right)\) M1A1A1
Note: Award M1 for attempting product or quotient rule differentiation, A1 for a correct numerator and A1 for a correct denominator.
(ii) METHOD 1
EITHER
\(\frac{{\text{d}}}{{{\text{d}}x}}(\tan \alpha ) = 0 \Rightarrow 70 - 2{x^2} = 0\) (M1)
\(x = \sqrt {35} {\text{ (m) }}\left( { = 5.9161 \ldots {\text{ (m)}}} \right)\) A1
\(\tan \alpha = \frac{1}{{\sqrt {35} }}{\text{ }}( = 0.16903 \ldots )\) (A1)
OR
attempting to locate the stationary point on the graph of
\(\tan \alpha = \frac{{2x}}{{{x^2} + 35}}\) (M1)
\(x = 5.9161 \ldots {\text{ (m) }}\left( { = \sqrt {35} {\text{ (m)}}} \right)\) A1
\(\tan \alpha = 0.16903 \ldots {\text{ }}\left( { = \frac{1}{{\sqrt {35} }}} \right)\) (A1)
THEN
\(\alpha = 9.59^\circ \) A1
METHOD 2
EITHER
\(\alpha = \arctan \left( {\frac{{2x}}{{{x^2} + 35}}} \right) \Rightarrow \frac{{{\text{d}}\alpha }}{{{\text{d}}x}} = \frac{{70 - 2{x^2}}}{{{{({x^2} + 35)}^2} + 4{x^2}}}\) M1
\(\frac{{{\text{d}}\alpha }}{{{\text{d}}x}} = 0 \Rightarrow x = \sqrt {35} {\text{ (m) }}\left( { = 5.9161{\text{ (m)}}} \right)\) A1
OR
attempting to locate the stationary point on the graph of
\(\alpha = \arctan \left( {\frac{{2x}}{{{x^2} + 35}}} \right)\) (M1)
\(x = 5.9161 \ldots {\text{ (m) }}\left( { = \sqrt {35} {\text{ (m)}}} \right)\) A1
THEN
\(\alpha = 0.1674 \ldots {\text{ }}\left( { = \arctan \frac{1}{{\sqrt {35} }}} \right)\) (A1)
\( = 9.59^\circ \) A1
(iii) \(\frac{{{{\text{d}}^2}}}{{{\text{d}}{x^2}}}(\tan \alpha ) = \frac{{{{({x^2} + 25)}^2}( - 4x) - (2)(2x)({x^2} + 35)(70 - 2{x^2})}}{{{{({x^2} + 35)}^4}}}{\text{ }}\left( { = \frac{{4x({x^2} - 105)}}{{{{({x^2} + 35)}^3}}}} \right)\) M1A1
substituting \(x = \sqrt {35} {\text{ }}( = 5.9161 \ldots )\) into \(\frac{{{{\text{d}}^2}}}{{{\text{d}}{x^2}}}(\tan \alpha )\) M1
\(\frac{{{{\text{d}}^2}}}{{{\text{d}}{x^2}}}(\tan \alpha ) < 0{\text{ }}( =- 0.004829 \ldots )\) and so \(\alpha = 9.59^\circ \) is the maximum value of \(\alpha \) R1
\(\alpha \) never exceeds 10° AG
[11 marks]
attempting to solve \(\frac{{2x}}{{{x^2} + 35}} \geqslant \tan 7^\circ \) (M1)
Note: Award (M1) for attempting to solve \(\frac{{2x}}{{{x^2} + 35}} = \tan 7^\circ \).
\(x = 2.55\) and \(x = 13.7\) (A1)
\(2.55 \leqslant x \leqslant 13.7{\text{ (m)}}\) A1
[3 marks]
Examiners report
This question was generally accessible to a large majority of candidates. It was pleasing to see a number of different (and quite clever) trigonometric methods successfully employed to answer part (a) and part (b).
This question was generally accessible to a large majority of candidates. It was pleasing to see a number of different (and quite clever) trigonometric methods successfully employed to answer part (a) and part (b).
The early parts of part (c) were generally well done. In part (c) (i), a few candidates correctly found \(\frac{{\text{d}}}{{{\text{d}}x}}(\tan \alpha )\) in unsimplified form but then committed an algebraic error when endeavouring to simplify further. A few candidates merely stated that \(\frac{{\text{d}}}{{{\text{d}}x}}(\tan \alpha ) = {\sec ^2}\alpha \).
Part (c) (ii) was reasonably well done with a large number of candidates understanding what was required to find the correct value of \(\alpha \) in degrees. In part (c)(iii), a reasonable number of candidates were able to successfully find \(\frac{{{{\text{d}}^2}}}{{{\text{d}}{x^2}}}(\tan \alpha )\) in unsimplified form. Some however attempted to solve \(\frac{{{{\text{d}}^2}}}{{{\text{d}}{x^2}}}(\tan \alpha ) = 0\) for \(\chi \) rather than examine the value of \(\frac{{{{\text{d}}^2}}}{{{\text{d}}{x^2}}}(\tan \alpha )\) at \(x = \sqrt {35} \).
Part (d), which required use of a GCD to determine an inequality, was surprisingly often omitted by candidates. Of the candidates who attempted this part, a number stated that \(x \geqslant 2.55\). Quite a sizeable proportion of candidates who obtained the correct inequality did not express their answer to 3 significant figures.
Solve the equation \(3{\cos ^2}x - 8\cos x + 4 = 0\), where \(0 \leqslant x \leqslant 180^\circ \), expressing your answer(s) to the nearest degree.
Find the exact values of \(\sec x\) satisfying the equation \(3{\sec ^4}x - 8{\sec ^2}x + 4 = 0\).
Markscheme
attempting to solve for \(\cos x\) or for u where \(u = \cos x\) or for x graphically. (M1)
EITHER
\(\cos x = \frac{2}{3}{\text{ (and 2)}}\) (A1)
OR
\(x = 48.1897 \ldots ^\circ \) (A1)
THEN
\(x = 48^\circ \) A1
Note: Award (M1)(A1)A0 for \(x = 48^\circ ,{\text{ }}132^\circ \).
Note: Award (M1)(A1)A0 for 0.841 radians.
[3 marks]
attempting to solve for \(\sec x\) or for \(v\) where \(v = \sec x\). (M1)
\(\sec x = \pm \sqrt 2 {\text{ }}\left( {{\text{and }} \pm \sqrt {\frac{2}{3}} } \right)\) (A1)
\(\sec x = \pm \sqrt 2 \) A1
[3 marks]
Examiners report
Part (a) was generally well done. Some candidates did not follow instructions and express their final answer correct to the nearest degree. A large number of candidates successfully employed a graphical approach.
Part (b) was not well done. Common errors included attempting to solve for x rather than for \(\sec x\), either omitting or not considering \(\sec x = - \sqrt 2 \), not rejecting \(\sec x = \pm \sqrt {\frac{2}{3}} \) and not working with exact values.
The points P and Q lie on a circle, with centre O and radius 8 cm, such that \({\rm{P\hat OQ}} = 59^\circ \) .
Find the area of the shaded segment of the circle contained between the arc PQ and the chord [PQ].
Markscheme
area of triangle \({\text{POQ}} = \frac{1}{2}{8^2}\sin 59^\circ \) M1
= 27.43 (A1)
area of sector \( = \pi {8^2}\frac{{59}}{{360}}\) M1
= 32.95 (A1)
area between arc and chord \( = 32.95 - 27.43\)
\( = 5.52{\text{ (c}}{{\text{m}}^2})\) A1
[5 marks]
Examiners report
This was an easy starter question, with most candidates gaining full marks. Others lost marks through premature rounding or the incorrect use of radian measure.
The graph below shows \(y = a\cos (bx) + c\).
Find the value of a, the value of b and the value of c.
Markscheme
\(a = 3\) A1
\(c = 2\) A1
period \( = \frac{{2\pi }}{b} = 3\) (M1)
\(b = \frac{{2\pi }}{3}{\text{ }}( = 2.09)\) A1
[4 marks]
Examiners report
Most candidates were able to find a and c, but many had difficulties with finding b.
A system of equations is given by
\[\cos x + \cos y = 1.2\]
\[\sin x + \sin y = 1.4{\text{ .}}\]
(a) For each equation express y in terms of x.
(b) Hence solve the system for \(0 < x < \pi ,{\text{ }}0 < y < \pi \) .
Markscheme
(a) \(y = \arccos (1.2 - \cos x)\) A1
\(y = \arcsin (1.4 - \sin x)\) A1
(b) The solutions are
x = 1.26, y = 0.464 A1A1
x = 0.464, y = 1.26 A1A1
[6 marks]
Examiners report
The majority of candidates obtained the first two marks. Candidates who used their GDC to solve this question did so successfully, although few candidates provided a sketch as the rubric requires. Attempts to use “solver” only gave one solution.
Some candidates did not give the solutions as coordinate pairs, but simply stated the x and y values.
This diagram shows a metallic pendant made out of four equal sectors of a larger circle of radius \({\text{OB}} = 9{\text{ cm}}\) and four equal sectors of a smaller circle of radius \({\text{OA}} = 3{\text{ cm}}\).
The angle \({\text{BOC}} = \) 20°.

Find the area of the pendant.
Markscheme
METHOD 1
area = (four sector areas radius 9) + (four sector areas radius 3) (M1)
\( = 4\left( {\frac{1}{2}{9^2}\frac{\pi }{9}} \right) + 4\left( {\frac{1}{2}{3^2}\frac{{7\pi }}{{18}}} \right)\) (A1)(A1)
\( = 18\pi + 7\pi \)
\( = 25\pi {\text{ }}( = 78.5{\text{ c}}{{\text{m}}^2})\) A1
METHOD 2
area =
(area of circle radius 3) + (four sector areas radius 9) – (four sector areas radius 3) (M1)
\(\pi {3^2} + 4\left( {\frac{1}{2}{9^2}\frac{\pi }{9}} \right) - 4\left( {\frac{1}{2}{3^2}\frac{\pi }{9}} \right)\) (A1)(A1)
Note: Award A1 for the second term and A1 for the third term.
\( = 9\pi + 18\pi - 2\pi \)
\( = 25\pi {\text{ }}( = {\text{ }}78.5{\text{ c}}{{\text{m}}^2})\) A1
Note: Accept working in degrees.
[4 marks]
Examiners report
A ship, S, is 10 km north of a motorboat, M, at 12.00pm. The ship is travelling northeast with a constant velocity of \(20{\text{ km}}\,{\text{h}}{{\text{r}}^{ - 1}}\). The motorboat wishes to intercept the ship and it moves with a constant velocity of \(30{\text{ km}}\,{\text{h}}{{\text{r}}^{ - 1}}\) in a direction \(\theta \) degrees east of north. In order for the interception to take place, determine
the value of \(\theta \).
the time at which the interception occurs, correct to the nearest minute.
Markscheme
let the interception occur at the point P, t hrs after 12:00
then, SP = 20t and MP = 30t A1
using the sine rule,
\(\frac{{{\text{SP}}}}{{{\text{MP}}}} = \frac{2}{3} = \frac{{\sin \theta }}{{\sin 135}}\) M1A1
whence \(\theta = 28.1\) A1
[4 marks]
using the sine rule again,
\(\frac{{{\text{MP}}}}{{{\text{MS}}}} = \frac{{\sin 135}}{{\sin (45 - 28.1255 \ldots )}}\) M1A1
\(30t = 10 \times \frac{{\sin 135}}{{\sin 16.8745 \ldots }}\) M1
\(t = 0.81199 \ldots \) A1
the interception occurs at 12:49 A1
[5 marks]
Examiners report
A straight street of width 20 metres is bounded on its parallel sides by two vertical walls, one of height 13 metres, the other of height 8 metres. The intensity of light at point P at ground level on the street is proportional to the angle \(\theta \) where \(\theta = {\rm{A\hat PB}}\), as shown in the diagram.
Find an expression for \(\theta \) in terms of x, where x is the distance of P from the base of the wall of height 8 m.
(i) Calculate the value of \(\theta \) when x = 0.
(ii) Calculate the value of \(\theta \) when x = 20.
Sketch the graph of \(\theta \), for \(0 \leqslant x \leqslant 20\).
Show that \(\frac{{{\text{d}}\theta }}{{{\text{d}}x}} = \frac{{5(744 - 64x - {x^2})}}{{({x^2} + 64)({x^2} - 40x + 569)}}\).
Using the result in part (d), or otherwise, determine the value of x corresponding to the maximum light intensity at P. Give your answer to four significant figures.
The point P moves across the street with speed \(0.5{\text{ m}}{{\text{s}}^{ - 1}}\). Determine the rate of change of \(\theta \) with respect to time when P is at the midpoint of the street.
Markscheme
EITHER
\(\theta = \pi - \arctan \left( {\frac{8}{x}} \right) - \arctan \left( {\frac{{13}}{{20 - x}}} \right)\) (or equivalent) M1A1
Note: Accept \(\theta = 180^\circ - \arctan \left( {\frac{8}{x}} \right) - \arctan \left( {\frac{{13}}{{20 - x}}} \right)\) (or equivalent).
OR
\(\theta = \arctan \left( {\frac{x}{8}} \right) + \arctan \left( {\frac{{20 - x}}{{13}}} \right)\) (or equivalent) M1A1
[2 marks]
(i) \(\theta = 0.994{\text{ }}\left( { = \arctan \frac{{20}}{{13}}} \right)\) A1
(ii) \(\theta = 1.19{\text{ }}\left( { = \arctan \frac{5}{2}} \right)\) A1
[2 marks]
correct shape. A1
correct domain indicated. A1
[2 marks]
attempting to differentiate one \(\arctan \left( {f(x)} \right)\) term M1
EITHER
\(\theta = \pi - \arctan \left( {\frac{8}{x}} \right) - \arctan \left( {\frac{{13}}{{20 - x}}} \right)\)
\(\frac{{{\text{d}}\theta }}{{{\text{d}}x}} = \frac{8}{{{x^2}}} \times \frac{1}{{1 + {{\left( {\frac{8}{x}} \right)}^2}}} - \frac{{13}}{{{{(20 - x)}^2}}} \times \frac{1}{{1 + {{\left( {\frac{{13}}{{20 - x}}} \right)}^2}}}\) A1A1
OR
\(\theta = \arctan \left( {\frac{x}{8}} \right) + \arctan \left( {\frac{{20 - x}}{{13}}} \right)\)
\(\frac{{{\text{d}}\theta }}{{{\text{d}}x}} = \frac{{\frac{1}{8}}}{{1 + {{\left( {\frac{x}{8}} \right)}^2}}} + \frac{{ - \frac{1}{{13}}}}{{1 + {{\left( {\frac{{20 - x}}{{13}}} \right)}^2}}}\) A1A1
THEN
\( = \frac{8}{{{x^2} + 64}} - \frac{{13}}{{569 - 40x + {x^2}}}\) A1
\( = \frac{{8(569 - 40x + {x^2}) - 13({x^{2}} + 64)}}{{({x^2} + 64)({x^2} - 40x + 569)}}\) M1A1
\( = \frac{{5(744 - 64x - {x^2})}}{{({x^2} + 64)({x^2} - 40x + 569)}}\) AG
[6 marks]
Maximum light intensity at P occurs when \(\frac{{{\text{d}}\theta }}{{{\text{d}}x}} = 0\). (M1)
either attempting to solve \(\frac{{{\text{d}}\theta }}{{{\text{d}}x}} = 0\) for x or using the graph of either \(\theta \) or \(\frac{{{\text{d}}\theta }}{{{\text{d}}x}}\) (M1)
x = 10.05 (m) A1
[3 marks]
\(\frac{{{\text{d}}x}}{{{\text{d}}t}} = 0.5\) (A1)
At x = 10, \(\frac{{{\text{d}}\theta }}{{{\text{d}}x}} = 0.000453{\text{ }}\left( { = \frac{5}{{11029}}} \right)\). (A1)
use of \(\frac{{{\text{d}}\theta }}{{{\text{d}}t}} = \frac{{{\text{d}}\theta }}{{{\text{d}}x}} \times \frac{{{\text{d}}x}}{{{\text{d}}t}}\) M1
\(\frac{{{\text{d}}\theta }}{{{\text{d}}t}} = 0.000227{\text{ }}\left( { = \frac{5}{{22058}}} \right){\text{ (rad }}{{\text{s}}^{ - 1}})\) A1
Note: Award (A1) for \(\frac{{{\text{d}}x}}{{{\text{d}}t}} = - 0.5\) and A1 for \(\frac{{{\text{d}}\theta }}{{{\text{d}}t}} = - 0.000227{\text{ }}\left( { = - \frac{5}{{22058}}} \right){\text{ }}\).
Note: Implicit differentiation can be used to find \(\frac{{{\text{d}}\theta }}{{{\text{d}}t}}\). Award as above.
[4 marks]
Examiners report
Part (a) was reasonably well done. While many candidates exhibited sound trigonometric knowledge to correctly express θ in terms of x, many other candidates were not able to use elementary trigonometry to formulate the required expression for θ.
In part (b), a large number of candidates did not realize that θ could only be acute and gave obtuse angle values for θ. Many candidates also demonstrated a lack of insight when substituting endpoint x-values into θ.
In part (c), many candidates sketched either inaccurate or implausible graphs.
In part (d), a large number of candidates started their differentiation incorrectly by failing to use the chain rule correctly.
For a question part situated at the end of the paper, part (e) was reasonably well done. A large number of candidates demonstrated a sound knowledge of finding where the maximum value of θ occurred and rejected solutions that were not physically feasible.
In part (f), many candidates were able to link the required rates, however only a few candidates were able to successfully apply the chain rule in a related rates context.
The interior of a circle of radius 2 cm is divided into an infinite number of sectors. The areas of these sectors form a geometric sequence with common ratio k. The angle of the first sector is \(\theta \) radians.
(a) Show that \(\theta = 2\pi (1 - k)\).
(b) The perimeter of the third sector is half the perimeter of the first sector.
Find the value of k and of \(\theta \).
Markscheme
(a) the area of the first sector is \(\frac{1}{2}{2^2}\theta \) (A1)
the sequence of areas is \(2\theta ,{\text{ }}2k\theta ,{\text{ }}2{k^2}\theta \ldots \) (A1)
the sum of these areas is \(2\theta (1 + k + {k^2} + \ldots )\) (M1)
\( = \frac{{2\theta }}{{1 - k}} = 4\pi \) M1A1
hence \(\theta = 2\pi (1 - k)\) AG
Note: Accept solutions where candidates deal with angles instead of area.
[5 marks]
(b) the perimeter of the first sector is \(4 + 2\theta \) (A1)
the perimeter of the third sector is \(4 + 2{k^2}\theta \) (A1)
the given condition is \(4 + 2{k^2}\theta = 2 + \theta \) M1
which simplifies to \(2 = \theta (1 - 2{k^2})\) A1
eliminating \(\theta \), obtain cubic in k: \(\pi (1 - k)(1 - 2{k^2}) - 1 = 0\) A1
or equivalent
solve for k = 0.456 and then \(\theta = 3.42\) A1A1
[7 marks]
Total [12 marks]
Examiners report
This was a disappointingly answered question.
Part(a) - Many candidates correctly assumed that the areas of the sectors were proportional to their angles, but did not actually state that fact.
Part(b) - Few candidates seem to know what the term ‘perimeter’ means.
The diagram below shows a fenced triangular enclosure in the middle of a large grassy field. The points A and C are 3 m apart. A goat \(G\) is tied by a 5 m length of rope at point A on the outside edge of the enclosure.
Given that the corner of the enclosure at C forms an angle of \(\theta \) radians and the area of field that can be reached by the goat is \({\text{44 }}{{\text{m}}^{\text{2}}}\), find the value of \(\theta \).

Markscheme
attempting to use the area of sector formula (including for a semicircle) M1
semi-circle \(\frac{1}{2}\pi \times {5^2} = \frac{{25\pi }}{2} = 39.26990817 \ldots \) (A1)
angle in smaller sector is \(\pi - \theta \) (A1)
area of sector \( = \frac{1}{2} \times {2^2} \times (\pi - \theta )\) (A1)
attempt to total a sum of areas of regions to 44 (M1)
\(2(\pi - \theta ) = 44 - 39.26990817 \ldots \)
\(\theta = 0.777{\text{ }}\left( { = \frac{{29\pi }}{4} - 22} \right)\) A1
Note: Award all marks except the final A1 for correct working in degrees.
Note: Attempt to solve with goat inside triangle should lead to nonsense answer and so should only receive a maximum of the two M marks.
[6 marks]
Examiners report
Many students experienced difficulties with this question, mostly it seems through failing to understand the question. Some students left their answers in degrees, thereby losing the final mark.
The radius of the circle with centre C is 7 cm and the radius of the circle with centre D is 5 cm. If the length of the chord [AB] is 9 cm, find the area of the shaded region enclosed by the two arcs AB.
Markscheme
\(\alpha = 2\arcsin \left( {\frac{{4.5}}{7}} \right)\) (\( \Rightarrow \alpha = 1.396... = 80.010^\circ ...\)) M1(A1)
\(\beta = 2\arcsin \left( {\frac{{4.5}}{5}} \right)\) (\( \Rightarrow \beta = 2.239... = 128.31^\circ ...\)) (A1)
Note: Allow use of cosine rule.
area \(P = \frac{1}{2} \times {7^2} \times \left( {\alpha - \sin \alpha } \right) = 10.08...\) M1(A1)
area \(Q = \frac{1}{2} \times {5^2} \times \left( {\beta - \sin \beta } \right) = 18.18...\) (A1)
Note: The M1 is for an attempt at area of sector minus area of triangle.
Note: The use of degrees correctly converted is acceptable.
area = 28.3 (cm2) A1
[7 marks]
Examiners report
Whilst most candidates were able to make the correct construction to solve the problem some candidates seemed unable to find the area of a segment. In a number of cases candidates used degrees in a formula that required radians. There were a number of candidates who followed a completely correct method but due to premature approximation were unable to obtain a correct solution.
Compactness is a measure of how compact an enclosed region is.
The compactness, \(C\) , of an enclosed region can be defined by \(C = \frac{{4A}}{{\pi {d^2}}}\), where \(A\) is the area of the region and \(d\) is the maximum distance between any two points in the region.
For a circular region, \(C = 1\).
Consider a regular polygon of \(n\) sides constructed such that its vertices lie on the circumference of a circle of diameter \(x\) units.
If \(n > 2\) and even, show that \(C = \frac{n}{{2\pi }}\sin \frac{{2\pi }}{n}\).
If \(n > 1\) and odd, it can be shown that \(C = \frac{{n\sin \frac{{2\pi }}{n}}}{{\pi \left( {1 + \cos \frac{\pi }{n}} \right)}}\).
Find the regular polygon with the least number of sides for which the compactness is more than \(0.99\).
If \(n > 1\) and odd, it can be shown that \(C = \frac{{n\sin \frac{{2\pi }}{n}}}{{\pi \left( {1 + \cos \frac{\pi }{n}} \right)}}\).
Comment briefly on whether C is a good measure of compactness.
Markscheme
each triangle has area \(\frac{1}{8}{x^2}\sin \frac{{2\pi }}{n}\;\;\;({\text{use of }}\frac{1}{2}ab\sin C)\) (M1)
there are \(n\) triangles so \(A = \frac{1}{8}n{x^2}\sin \frac{{2\pi }}{n}\) A1
\(C = \frac{{4\left( {\frac{1}{8}n{x^2}\sin \frac{{2\pi }}{n}} \right)}}{{\pi {n^2}}}\) A1
so \(C = \frac{n}{{2\pi }}\sin \frac{{2\pi }}{n}\) AG
[3 marks]
attempting to find the least value of \(n\) such that \(\frac{n}{{2\pi }}\sin \frac{{2\pi }}{n} > 0.99\) (M1)
\(n = 26\) A1
attempting to find the least value of \(n\) such that \(\frac{{n\sin \frac{{2\pi }}{n}}}{{\pi \left( {1 + \cos \frac{\pi }{n}} \right)}} > 0.99\) (M1)
\(n = 21\) (and so a regular polygon with 21 sides) A1
Note: Award (M0)A0(M1)A1 if \(\frac{n}{{2\pi }}\sin \frac{{2\pi }}{n} > 0.99\) is not considered and \(\frac{{n\sin \frac{{2\pi }}{n}}}{{\pi \left( {1 + \cos \frac{\pi }{n}} \right)}} > 0.99\) is correctly considered.
Award (M1)A1(M0)A0 for \(n = 26\).
[4 marks]
EITHER
for even and odd values of n, the value of C seems to increase towards the limiting value of the circle \((C = 1)\) ie as n increases, the polygonal regions get closer and closer to the enclosing circular region R1
OR
the differences between the odd and even values of n illustrate that this measure of compactness is not a good one. R1
Examiners report
Most candidates found this a difficult question with a large number of candidates either not attempting it or making little to no progress. In part (a), a number of candidates attempted to show the desired result using specific regular polygons. Some candidates attempted to fudge the result.
In part (b), the overwhelming majority of candidates that obtained either \(n = 21\) or \(n = 26\) or both used either a GDC numerical solve feature or a graphical approach rather than a tabular approach which is more appropriate for a discrete variable such as the number of sides of a regular polygon. Some candidates wasted valuable time by showing that \(C = \frac{{n\sin \frac{{2\pi }}{n}}}{{\pi \left( {1 + \cos \frac{\pi }{n}} \right)}}\) (a given result).
In part (c), the occasional candidate correctly commented that \(C \) was a good measure of compactness either because the value of \(C \) seemed to approach the limiting value of the circle as \(n \) increased or commented that \(C \) was not a good measure because of the disparity in \(C \)-values between even and odd values of \(n \).
Two non-intersecting circles C1 , containing points M and S , and C2 , containing points N and R, have centres P and Q where PQ \( = 50\) . The line segments [MN] and [SR] are common tangents to the circles. The size of the reflex angle MPS is \( \alpha\), the size of the obtuse angle NQR is \( \beta\) , and the size of the angle MPQ is \( \theta\) . The arc length MS is \({l_1}\) and the arc length NR is \({l_2}\) . This information is represented in the diagram below.
The radius of C1 is \(x\) , where \(x \geqslant 10\) and the radius of C2 is \(10\).
(a) Explain why \(x < 40\) .
(b) Show that cosθ = x −10 50.
(c) (i) Find an expression for MN in terms of \(x\) .
(ii) Find the value of \(x\) that maximises MN.
(d) Find an expression in terms of \(x\) for
(i) \( \alpha\) ;
(ii) \( \beta\) .
(e) The length of the perimeter is given by \({l_1} + {l_2} + {\text{MN}} + {\text{SR}}\).
(i) Find an expression, \(b (x)\) , for the length of the perimeter in terms of \(x\) .
(ii) Find the maximum value of the length of the perimeter.
(iii) Find the value of \(x\) that gives a perimeter of length \(200\).
Markscheme
(a) PQ \( = 50\) and non-intersecting R1
[1 mark]
(b) a construction QT (where T is on the radius MP), parallel to MN, so that \({\text{Q}}\hat {\text{T}}{\text{M}} = 90^\circ \) (angle between tangent and radius \( = 90^\circ \) ) M1
lengths \(50\), \(x - 10\) and angle \( \theta\) marked on a diagram, or equivalent R1
Note: Other construction lines are possible.
[2 marks]
(c) (i) MN \( = \sqrt {{{50}^2} - {{\left( {x - 10} \right)}^2}} \) A1
(ii) maximum for MN occurs when \(x = 10\) A1
[2 marks]
(d) (i) \(\alpha = 2\pi - 2\theta \) M1
\( = 2\pi - 2\arccos \left( {\frac{{x - 10}}{{50}}} \right)\) A1
(ii) \(\beta = 2\pi - \alpha \) ( \( = 2\theta \) ) A1
\( = 2\left( {{{\cos }^{ - 1}}\left( {\frac{{x - 10}}{{50}}} \right)} \right)\) A1
[4 marks]
(e) (i) \(b(x) = x\alpha + 10\beta + 2\sqrt {{{50}^2} - {{\left( {x - 10} \right)}^2}} \) A1A1A1
\( = x\left( {2\pi - 2\left( {{{\cos }^{ - 1}}\left( {\frac{{x - 10}}{{50}}} \right)} \right)} \right) + 20\left( {\left( {{{\cos }^{ - 1}}\left( {\frac{{x - 10}}{{50}}} \right)} \right)} \right) + 2\sqrt {{{50}^2} - {{\left( {x - 10} \right)}^2}} \) M1A1
(ii) maximum value of perimeter \( = 276\) A2
(iii) perimeter of \(200\) cm \(b(x) = 200\) (M1)
when \(x = 21.2\) A1
[9 marks]
Total [18 marks]
Examiners report
This is not an inherently difficult question, but candidates either made heavy weather of it or avoided it almost entirely. The key to answering the question is in obtaining the displayed answer to part (b), for which a construction line parallel to MN through Q is required. Diagrams seen by examiners on some scripts tend to suggest that the perpendicularity property of a tangent to a circle and the associated radius is not as firmly known as they had expected. Some candidates mixed radians and degrees in their expressions.
Consider a triangle ABC with \({\rm{B\hat AC}} = 45.7^\circ \) , AB = 9.63 cm and BC = 7.5 cm .
By drawing a diagram, show why there are two triangles consistent with this information.
Find the possible values of AC .
Markscheme
A2
Note: Accept 2 separate triangles. The diagram(s) should show that one triangle has an acute angle and the other triangle has an obtuse angle. The values 9.63, 7.5 and 45.7 and/or the letters, A, B, C′ and C should be correctly marked on the diagram(s).
[2 marks]
METHOD 1
\(\frac{{\sin 45.7}}{{7.5}} = \frac{{\sin C}}{{9.63}}\) M1
\( \Rightarrow \hat C = 66.77...^\circ \,{\text{, }}113.2...^\circ \) (A1)(A1)
\( \Rightarrow \hat B = 67.52...^\circ \,{\text{, }}21.07...^\circ \) (A1)
\(\frac{b}{{\sin B}} = \frac{{7.5}}{{\sin 45.7}} \Rightarrow b = 9.68({\text{cm}}){\text{, }}b = 3.77({\text{cm}})\) A1A1
Note: If only the acute value of \({\hat C}\) is found, award M1(A1)(A0)(A0)A1A0.
METHOD 2
\({7.5^2} = {9.63^2} + {b^2} - 2 \times 9.63 \times b\cos 45.7^\circ \) M1A1
\({b^2} - 13.45...b + 36.48... = 0\)
\(b = \frac{{13.45... \pm \sqrt {13.45..{.^2} - 4 \times 36.48...} }}{2}\) (M1)(A1)
\({\text{AC}} = 9.68({\text{cm}})\,{\text{, AC}} = 3.77({\text{cm}})\) A1A1
[6 marks]
Examiners report
Surprisingly few candidates were able to demonstrate diagrammatically the situation for the ambiguous case of the sine rule. More were successful in trying to apply it or to use the cosine rule. However, there were still a surprisingly large number of candidates who were only able to find one possible answer for AC.
Surprisingly few candidates were able to demonstrate diagrammatically the situation for the ambiguous case of the sine rule. More were successful in trying to apply it or to use the cosine rule. However, there were still a surprisingly large number of candidates who were only able to find one possible answer for AC.
Points A, B and C are on the circumference of a circle, centre O and radius \(r\) . A trapezium OABC is formed such that AB is parallel to OC, and the angle \({\rm{A}}\hat {\text{O}}{\text{C}}\) is \(\theta\) , \(\frac{\pi }{2} \leqslant \theta \leqslant \pi \) .
(a) Show that angle \({\rm{B\hat OC}}\) is \(\pi - \theta \).
(b) Show that the area, T, of the trapezium can be expressed as
\[T = \frac{1}{2}{r^2}\sin \theta - \frac{1}{2}{r^2}\sin 2\theta .\]
(c) (i) Show that when the area is maximum, the value of \(\theta \) satisfies
\[\cos \theta = 2\cos 2\theta .\]
(ii) Hence determine the maximum area of the trapezium when r = 1.
(Note: It is not required to prove that it is a maximum.)
Markscheme
(a) \({\rm{O\hat AB}} = \pi - \theta \,\,\,\,\,\)(allied) A1
recognizing OAB as an isosceles triangle M1
so \({\rm{A\hat BO}} = \pi - \theta \)
\({\rm{B\hat OC}} = \pi - \theta \,\,\,\,\,\)(alternate) AG
Note: This can be done in many ways, including a clear diagram.
[3 marks]
(b) area of trapezium is \(T = {\text{are}}{{\text{a}}_{\Delta {\text{BOC}}}} + {\text{are}}{{\text{a}}_{\Delta {\text{AOB}}}}\) (M1)
\( = \frac{1}{2}{r^2}\sin (\pi - \theta ) + \frac{1}{2}{r^2}\sin (2\theta - \pi )\) M1A1
\( = \frac{1}{2}{r^2}\sin \theta - \frac{1}{2}{r^2}\sin 2\theta \) AG
[3 marks]
(c) (i) \(\frac{{{\text{d}}T}}{{{\text{d}}\theta }} = \frac{1}{2}{r^2}\cos \theta - {r^2}\cos 2\theta \) M1A1
for maximum area \(\frac{1}{2}{r^2}\cos \theta - {r^2}\cos 2\theta = 0\) M1
\(\cos \theta = 2\cos 2\theta \) AG
(ii) \({\theta _{\max }} = 2.205 \ldots \) (A1)
\(\frac{1}{2}\sin {\theta _{\max }} - \frac{1}{2}\sin 2{\theta _{\max }} = 0.880\) A1
[5 marks]
Total [11 marks]
Examiners report
In part (a) students had difficulties supporting their statements and were consequently unable to gain all the marks here. There were some good attempts at parts (b) and (c) although many students failed to recognise r as a constant and hence differentiated it, often incorrectly.
The diagram shows the plan of an art gallery a metres wide. [AB] represents a doorway, leading to an exit corridor b metres wide. In order to remove a painting from the art gallery, CD (denoted by L ) is measured for various values of \(\alpha \) , as represented in the diagram.
If \(\alpha \) is the angle between [CD] and the wall, show that \(L = \frac{a }{{\sin \alpha }} + \frac{b}{{\cos \alpha }}{\text{, }}0 < \alpha < \frac{\pi }{2}\).
If a = 5 and b = 1, find the maximum length of a painting that can be removed through this doorway.
Let a = 3k and b = k .
Find \(\frac{{{\text{d}}L}}{{{\text{d}}\alpha }}\).
Let a = 3k and b = k .
Find, in terms of k , the maximum length of a painting that can be removed from the gallery through this doorway.
Let a = 3k and b = k .
Find the minimum value of k if a painting 8 metres long is to be removed through this doorway.
Markscheme
\(L = {\text{CA}} + {\text{AD}}\) M1
\({\text{sin}}\alpha {\text{ = }}\frac{a}{{{\text{CA}}}} \Rightarrow {\text{CA}} = \frac{a}{{\sin \alpha }}\) A1
\(\cos \alpha = \frac{b}{{{\text{AD}}}} \Rightarrow {\text{AD}} = \frac{b}{{\cos \alpha }}\) A1
\(L = \frac{a}{{\sin \alpha }} + \frac{b}{{\cos \alpha }}\) AG
[2 marks]
\(a = 5{\text{ and }}b = 1 \Rightarrow L = \frac{5}{{\sin \alpha }} + \frac{1}{{\cos \alpha }}\)
METHOD 1
(M1)
minimum from graph \( \Rightarrow L = 7.77\) (M1)A1
minimum of L gives the max length of the painting R1
[4 marks]
METHOD 2
\(\frac{{{\text{d}}L}}{{{\text{d}}\alpha }} = \frac{{ - 5\cos \alpha }}{{{{\sin }^2}\alpha }} + \frac{{\sin \alpha }}{{{{\cos }^2}\alpha }}\) (M1)
\(\frac{{{\text{d}}L}}{{{\text{d}}\alpha }} = 0 \Rightarrow \frac{{{{\sin }^3}\alpha }}{{{{\cos }^3}\alpha }} = 5 \Rightarrow \tan \alpha = \sqrt[{3{\text{ }}}]{5}{\text{ }}(\alpha = 1.0416...)\) (M1)
minimum of L gives the max length of the painting R1
maximum length = 7.77 A1
[4 marks]
\(\frac{{{\text{d}}L}}{{{\text{d}}\alpha }} = \frac{{ - 3k\cos \alpha }}{{{{\sin }^2}\alpha }} + \frac{{k\sin \alpha }}{{{{\cos }^2}\alpha }}\,\,\,\,\,{\text{(or equivalent)}}\) M1A1A1
[3 marks]
\(\frac{{{\text{d}}L}}{{{\text{d}}\alpha }} = \frac{{ - 3k{{\cos }^3}\alpha + k{{\sin }^3}\alpha }}{{{{\sin }^2}\alpha {{\cos }^2}\alpha }}\) (A1)
\(\frac{{{\text{d}}L}}{{{\text{d}}\alpha }} = 0 \Rightarrow \frac{{{{\sin }^3}\alpha }}{{{{\cos }^3}\alpha }} = \frac{{3k}}{k} \Rightarrow \tan \alpha = \sqrt[3]{3}\,\,\,\,\,(\alpha = 0.96454...)\) M1A1
\(\tan \alpha = \sqrt[3]{3} \Rightarrow \frac{1}{{\cos \alpha }} = \sqrt {1 + \sqrt[3]{9}} \,\,\,\,\,(1.755...)\) (A1)
\({\text{and }}\frac{1}{{\sin \alpha }} = \frac{{\sqrt {1 + \sqrt[3]{9}} }}{{\sqrt[3]{3}}}\,\,\,\,\,(1.216...)\) (A1)
\(L = 3k\left( {\frac{{\sqrt {1 + \sqrt[3]{9}} }}{{\sqrt[3]{3}}}} \right) + k\sqrt {1 + \sqrt[3]{9}} \,\,\,\,\,(L = 5.405598...k)\) A1 N4
[6 marks]
\(L \leqslant 8 \Rightarrow k \geqslant 1.48\) M1A1
the minimum value is 1.48
[2 marks]
Examiners report
Part (a) was very well done by most candidates. Parts (b), (c) and (d) required a subtle balance between abstraction, differentiation skills and use of GDC.
In part (b), although candidates were asked to justify their reasoning, very few candidates offered an explanation for the maximum. Therefore most candidates did not earn the R1 mark in part (b). Also not as many candidates as anticipated used a graphical approach, preferring to use the calculus with varying degrees of success. In part (c), some candidates calculated the derivatives of inverse trigonometric functions. Some candidates had difficulty with parts (d) and (e). In part (d), some candidates erroneously used their alpha value from part (b). In part (d) many candidates used GDC to calculate decimal values for \(\alpha \) and L. The premature rounding of decimals led sometimes to inaccurate results. Nevertheless many candidates got excellent results in this question.
Part (a) was very well done by most candidates. Parts (b), (c) and (d) required a subtle balance between abstraction, differentiation skills and use of GDC.
In part (b), although candidates were asked to justify their reasoning, very few candidates offered an explanation for the maximum. Therefore most candidates did not earn the R1 mark in part (b). Also not as many candidates as anticipated used a graphical approach, preferring to use the calculus with varying degrees of success. In part (c), some candidates calculated the derivatives of inverse trigonometric functions. Some candidates had difficulty with parts (d) and (e). In part (d), some candidates erroneously used their alpha value from part (b). In part (d) many candidates used GDC to calculate decimal values for \(\alpha \) and L. The premature rounding of decimals led sometimes to inaccurate results. Nevertheless many candidates got excellent results in this question.
Part (a) was very well done by most candidates. Parts (b), (c) and (d) required a subtle balance between abstraction, differentiation skills and use of GDC.
In part (b), although candidates were asked to justify their reasoning, very few candidates offered an explanation for the maximum. Therefore most candidates did not earn the R1 mark in part (b). Also not as many candidates as anticipated used a graphical approach, preferring to use the calculus with varying degrees of success. In part (c), some candidates calculated the derivatives of inverse trigonometric functions. Some candidates had difficulty with parts (d) and (e). In part (d), some candidates erroneously used their alpha value from part (b). In part (d) many candidates used GDC to calculate decimal values for \(\alpha \) and L. The premature rounding of decimals led sometimes to inaccurate results. Nevertheless many candidates got excellent results in this question.
Part (a) was very well done by most candidates. Parts (b), (c) and (d) required a subtle balance between abstraction, differentiation skills and use of GDC.
In part (b), although candidates were asked to justify their reasoning, very few candidates offered an explanation for the maximum. Therefore most candidates did not earn the R1 mark in part (b). Also not as many candidates as anticipated used a graphical approach, preferring to use the calculus with varying degrees of success. In part (c), some candidates calculated the derivatives of inverse trigonometric functions. Some candidates had difficulty with parts (d) and (e). In part (d), some candidates erroneously used their alpha value from part (b). In part (d) many candidates used GDC to calculate decimal values for \(\alpha \) and L. The premature rounding of decimals led sometimes to inaccurate results. Nevertheless many candidates got excellent results in this question.
Part (a) was very well done by most candidates. Parts (b), (c) and (d) required a subtle balance between abstraction, differentiation skills and use of GDC.
In part (b), although candidates were asked to justify their reasoning, very few candidates offered an explanation for the maximum. Therefore most candidates did not earn the R1 mark in part (b). Also not as many candidates as anticipated used a graphical approach, preferring to use the calculus with varying degrees of success. In part (c), some candidates calculated the derivatives of inverse trigonometric functions. Some candidates had difficulty with parts (d) and (e). In part (d), some candidates erroneously used their alpha value from part (b). In part (d) many candidates used GDC to calculate decimal values for \(\alpha \) and L. The premature rounding of decimals led sometimes to inaccurate results. Nevertheless many candidates got excellent results in this question.
Two discs, one of radius 8 cm and one of radius 5 cm, are placed such that they touch each other. A piece of string is wrapped around the discs. This is shown in the diagram below.
Calculate the length of string needed to go around the discs.
Markscheme
\({\text{AC}} = {\text{BD}} = \sqrt {{{13}^2} - {3^2}} = 12.64...\) (A1)
\(\cos \alpha = \frac{3}{{13}} \Rightarrow \alpha = 1.337...(76.65...^\circ .)\) (M1)(A1)
attempt to find either arc length AB or arc length CD (M1)
\({\text{arc length AB}} = 5(\pi - 2 \times 0.232...){\text{ }}( = 13.37...)\) (A1)
\({\text{arc length CD}} = 8(\pi + 2 \times 0.232...){\text{ }}( = 28.85...)\) (A1)
length of string = 13.37... + 28.85... + 2(12.64...) (M1)
= 67.5 (cm) A1
[8 marks]
Examiners report
Given that this was the last question in section A it was pleasing to see a good number of candidates make a start on the question. As would be expected from a question at this stage of the paper, more limited numbers of candidates gained full marks. A number of candidates made the question very difficult by unnecessarily splitting the angles required to find the final answer into combinations of smaller angles, all of which required a lot of work and time.